DeMayo reaction

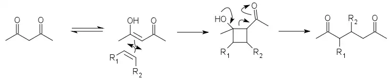
The DeMayo reaction or Ciamician-DeMayo reaction is a photochemical reaction in which the enol of a 1,3-diketone reacts with an alkene (or another species with a C=C bond) and the resulting cyclobutane ring undergoes a retro-aldol reaction to yield a 1,5-diketone:[1]

The DeMayo reaction

The net effect is to add the two carbon atoms in the C=C double bond between the two carbonyl groups of the diketone. It is thus useful in syntheses both as a relatively selective way to join two parts of a molecule and as a way to apply the more developed chemistry of 1,3-diketone synthesis to 1,5-diketones. The first part is a [2+2] cycloaddition. The ensuing retro-aldol cleavage is favored by the relative instability of the cyclobutane ring.

De Mayo startAnimGif
An animation of the reaction mechanism

References

  1. ^ Li, Jie Jack (30 January 2014). Name reactions : a collection of detailed mechanisms and synthetic applications (Fifth ed.). Cham. ISBN 9783319039794. OCLC 870309747.{{cite book}}: CS1 maint: location missing publisher (link)