Equivalent circuit model for Li-ion cells
The equivalent circuit model (ECM) is a common lumped-element model for Lithium-ion battery cells.[1][2][3] The ECM simulates the terminal voltage dynamics of a Li-ion cell through an equivalent electrical network composed passive elements, such as resistors and capacitors, and a voltage generator. The ECM is widely employed in several application fields, including computerized simulation, because of its simplicity, its low computational demand, its ease of characterization, and its structural flexibility.[2][4][5][6] These features make the ECM suitable for real-time Battery Management System (BMS) tasks like state of charge (SoC) estimation,[7] State of Health (SoH) monitoring[8] and battery thermal management.[9]

Model structure
The equivalent-circuit model is used to simulate the voltage at the cell terminals when an electric current is applied to discharge or recharge it. The most common circuital representation consists of three elements in series: a variable voltage source, representing the open-circuit voltage (OCV) of the cell, a resistor representing ohmic internal resistance of the cell and a set of resistor-capacitor (RC) parallels accounting for the dynamic voltage drops.[1][2][3]
Open-circuit voltage

The open-circuit voltage of a Li-ion cell (or battery) is its terminal voltage in equilibrium conditions, i.e. measured when no load current is applied and after a long rest period. The open-circuit voltage is a decreasing nonlinear function of the state of charge, and its shape depends on the chemical composition of the anode (usually made of graphite) and cathode (LFP, NMC, NCA, LCO...) of the cell.[11] The open-circuit voltage, represented in the circuit by a state of charge-driven voltage generator, is the major voltage contribution and is the most informative indicator of cell's state of charge.[12][13]
Internal resistance
The internal resistance, represented in the circuit by a simple resistor, is used to simulate the instantaneous voltage drops due to ohmic effects such as electrodes resistivity,[4][14] electrolyte conductivity[4][14][15] and contact resistance[14][15] (e.g. solid-electrolyte interface (SEI) and collectors contact resistance).
Internal resistance is strongly influenced by several factors, such as:
- Temperature. The internal resistance increases significantly at low temperatures.[16][14] This effect makes lithium-ion batteries particularly inefficient at low temperatures.[17][18]
- State of charge. The internal resistance shows a remarkable dependence on the state of charge of the cell.[19] In particular, at low state of charge (near-discharged cell) and high state of charge (fully charged cell), an increase in internal resistance is experienced.[19]
- Cell aging. The internal resistance increases as the Li-ion cell ages.[14] The main cause of the resistance increase is the thickening of the solid-electrolyte interface (SEI), a solid barrier with protective functions that grows naturally on the anode surface, composed of electrolyte decomposition-derived compounds.[20][21]
RC parallels
One or more RC parallels are often added to the model to improve its accuracy in simulating dynamic voltage transients. The number of RC parallels is an arbitrary modeling choice: in general, a large number of RC parallels improves the accuracy of the model but complicates the identification process and increases the computational load, while a small number will result in a computationally light and easy-to-characterize model but less accurate in predicting cell voltage during transients. Commonly, one or two RC parallels are considered the optimal choices.[1]
Model equations
The ECM can be described by a state-space representation that has current () as input and voltage at the cell terminals () as output. Consider a generic ECM model with a number of RC parallels . The states of the model, (i.e., the variables that evolve over time via differential equations), are the state of charge () and the voltage drops across the RC parallels ().[2]

The state of charge is usually computed integrating the current drained/supplied by/to the battery through the formula known as Coulomb Counting:[22]
where is the cell nominal capacity (expressed in ampere-hours). The voltage across each RC parallel is simulated as:[2]
where and are, respectively, the polarization resistance and capacity. Finally, knowing the open-circuit voltage-state of charge relationship and the internal resistance , the cell terminal voltage can be computed as:[2]
Introduction to experimental identification
Experimental identification of the ECM involves the estimation of unknown parameters, especially the capacitance , the open-circuit voltage curve , and the passive components and ,. Commonly, identification is addressed in sequential steps.[23]
Capacity assessment
Cell capacity is usually measured by fully discharging the cell at constant current.[24] The capacity test is commonly carried out by discharging the cell completely (from upper voltage limit to lower voltage limit ) at the rated current of 0.5C/1C (that is, the current required, according to the manufacturer, to fully discharge it in two/one hours) and after a full charge (usually conducted via CC-CV charging strategy).[24] Capacity can be computed as: .
Open-circuit voltage characterization
There are two main experimental techniques for characterizing the open-circuit voltage:
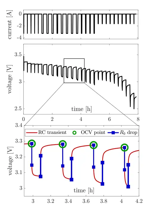
- Pulse test:[11] the cell is fully discharged/charged with a train of current pulses. Each pulse discharges a predetermined portion of the cell capacity, and thus allows a new point to be explored. After each current pulse, the cell is left to rest for several hours and then the open-circuit voltage is measured. Finally, the curve is obtained by fitting the collected [, ] points by an arbitrarily chosen function (typically polynomial). This method is believed to be quick and effective, but the quality result depends on the experiment design and the time invested in it.[11]
- Slow galvanostatic discharge[11]: another method to evaluate the open-circuit voltage of the cell is to slowly discharge/charge it under galvanostatic conditions (i.e., at low constant currents). In fact, for small currents, the approximation applies. Also in this case, since the accuracy of the estimate depends on how small the discharge current is, the quality of the result is closely related to the time invested in the test.[11]

Dynamic response characterization
The parameters that characterize the dynamic response, namely the ohmic resistance and the parameters of RC parallels ,, are usually identified experimentally in two different ways:
- Time domain identification[23][25]: the parameters are optimized by analyzing the behavior over time of the cell voltage in response to a determined current profile. For example, a pulse test can be used for this purpose: can be identified (at different state of charge levels) by measuring the instantaneous voltage drops upon application/removal of each pulse, while and can be identified, by means of a dedicated optimization procedure, to best simulate the dynamic response during cell relaxation.[23][25]
- Frequency domain identification[26][27]: dynamic parameters can be optimized by analyzing the frequency response of the cell. For this purpose, an AC current (or voltage) signal of varying frequency is injected into the cell, and the resulting voltage (or current) response is evaluated in terms of amplitude and phase. This analysis, called Electrochemical Impedance Spectroscopy (EIS) requires dedicated laboratory instrumentation and produces highly reliable results. EIS results, typically evaluated using the Nyquist diagram, allows the different impedance terms of the cell (, and ) to be quantified separately.[26][27]
Applications
Some of the possible uses of ECM include:
- Online state estimation in Battery Management Systems: ECM is widely used within model-based observers designed to predict non-measurable internal states of the battery, such as state of charge and State of Health. For example, ECMs of different order are frequently used within Extended Kalman Filters developed for online state of charge estimation.[28]
- Simulation and system design: ECM is often used in the design phase of a battery pack.[29] Simulating electrical load profiles at the cell level allows the sizing of the system in terms of capacity and voltage. In addition, ECM can be used to simulate the battery heat generation, and thus design and size the battery cooling system.[30]
See also
- Battery management system
- Equivalent circuit
- Internal resistance
- Lithium-ion battery
- State of charge, State of health
References
- ^ a b c Hu, Xiaosong; Li, Shengbo; Peng, Huei (January 2012). "A comparative study of equivalent circuit models for Li-ion batteries". Journal of Power Sources. 198: 359–367. doi:10.1016/j.jpowsour.2011.10.013. ISSN 0378-7753.
- ^ a b c d e f Lin, Xinfan; Kim, Youngki; Mohan, Shankar; Siegel, Jason B.; Stefanopoulou, Anna G. (2019-05-03). "Modeling and Estimation for Advanced Battery Management". Annual Review of Control, Robotics, and Autonomous Systems. 2 (1): 393–426. doi:10.1146/annurev-control-053018-023643. ISSN 2573-5144.
- ^ a b Liaw, Bor Yann; Nagasubramanian, Ganesan; Jungst, Rudolph G.; Doughty, Daniel H. (2004-11-30). "Modeling of lithium ion cells—A simple equivalent-circuit model approach". Solid State Ionics. Fourteenth International Conference on Solid State Ionics. 175 (1): 835–839. doi:10.1016/j.ssi.2004.09.049. ISSN 0167-2738.
- ^ a b c Zhang, Lijun; Peng, Hui; Ning, Zhansheng; Mu, Zhongqiang; Sun, Changyan (October 2017). "Comparative Research on RC Equivalent Circuit Models for Lithium-Ion Batteries of Electric Vehicles". Applied Sciences. 7 (10): 1002. doi:10.3390/app7101002. ISSN 2076-3417.
- ^ Nejad, S.; Gladwin, D. T.; Stone, D. A. (2016-06-01). "A systematic review of lumped-parameter equivalent circuit models for real-time estimation of lithium-ion battery states". Journal of Power Sources. 316: 183–196. Bibcode:2016JPS...316..183N. doi:10.1016/j.jpowsour.2016.03.042. ISSN 0378-7753.
- ^ Tekin, Merve; Karamangil, M. İhsan (2024-05-10). "Comparative analysis of equivalent circuit battery models for electric vehicle battery management systems". Journal of Energy Storage. 86: 111327. Bibcode:2024JEnSt..8611327T. doi:10.1016/j.est.2024.111327. ISSN 2352-152X.
- ^ Xiong, Rui; Cao, Jiayi; Yu, Quanqing; He, Hongwen; Sun, Fengchun (2018). "Critical Review on the Battery State of Charge Estimation Methods for Electric Vehicles". IEEE Access. 6: 1832–1843. Bibcode:2018IEEEA...6.1832X. doi:10.1109/ACCESS.2017.2780258. ISSN 2169-3536.
- ^ Berecibar, M.; Gandiaga, I.; Villarreal, I.; Omar, N.; Van Mierlo, J.; Van den Bossche, P. (2016-04-01). "Critical review of state of health estimation methods of Li-ion batteries for real applications". Renewable and Sustainable Energy Reviews. 56: 572–587. Bibcode:2016RSERv..56..572B. doi:10.1016/j.rser.2015.11.042. ISSN 1364-0321.
- ^ Liu, Jie; Yadav, Saurabh; Salman, Mohammad; Chavan, Santosh; Kim, Sung Chul (2024-01-01). "Review of thermal coupled battery models and parameter identification for lithium-ion battery heat generation in EV battery thermal management system". International Journal of Heat and Mass Transfer. 218: 124748. Bibcode:2024IJHMT.21824748L. doi:10.1016/j.ijheatmasstransfer.2023.124748. ISSN 0017-9310.
- ^ Al-Shammari, Hammad; Farhad, Siamak (January 2022). "Performance of Cathodes Fabricated from Mixture of Active Materials Obtained from Recycled Lithium-Ion Batteries". Energies. 15 (2): 410. doi:10.3390/en15020410. ISSN 1996-1073.
- ^ a b c d e Somakettarin, Natthawuth; Funaki, Tsuyoshi (March 2017). "Study on Factors for Accurate Open Circuit Voltage Characterizations in Mn-Type Li-Ion Batteries". Batteries. 3 (1): 8. doi:10.3390/batteries3010008. ISSN 2313-0105.
- ^ Zhang, Ruifeng; Xia, Bizhong; Li, Baohua; Cao, Libo; Lai, Yongzhi; Zheng, Weiwei; Wang, Huawen; Wang, Wei; Wang, Mingwang (September 2018). "A Study on the Open Circuit Voltage and State of Charge Characterization of High Capacity Lithium-Ion Battery Under Different Temperature". Energies. 11 (9): 2408. doi:10.3390/en11092408. ISSN 1996-1073.
- ^ Yang, Jie; Du, Chunyu; Wang, Ting; Gao, Yunzhi; Cheng, Xinqun; Zuo, Pengjian; Ma, Yulin; Wang, Jiajun; Yin, Geping; Xie, Jingying; Lei, Bo (December 2018). "Rapid Prediction of the Open-Circuit-Voltage of Lithium Ion Batteries Based on an Effective Voltage Relaxation Model". Energies. 11 (12): 3444. doi:10.3390/en11123444. ISSN 1996-1073.
- ^ a b c d e Barcellona, Simone; Colnago, Silvia; Dotelli, Giovanni; Latorrata, Saverio; Piegari, Luigi (June 2022). "Aging effect on the variation of Li-ion battery resistance as function of temperature and state of charge". Journal of Energy Storage. 50: 104658. Bibcode:2022JEnSt..5004658B. doi:10.1016/j.est.2022.104658. hdl:11311/1227399. ISSN 2352-152X.
- ^ a b Dong, T. K.; Kirchev, A.; Mattera, F.; Kowal, J.; Bultel, Y. (2011). "Dynamic Modeling of Li-Ion Batteries Using an Equivalent Electrical Circuit". Journal of the Electrochemical Society. 158 (3): A326. doi:10.1149/1.3543710.
- ^ Hossain Ahmed, Sazzad; Kang, Xiaosong; Bade Shrestha, S. O. (2015-05-01). "Effects of Temperature on Internal Resistances of Lithium-Ion Batteries". Journal of Energy Resources Technology. 137 (3). doi:10.1115/1.4028698. ISSN 0195-0738.
- ^ Schmall, Emily; Gross, Jenny (2024-01-17). "Electric Car Owners Confront a Harsh Foe: Cold Weather". The New York Times. ISSN 0362-4331. Retrieved 2024-07-10.
- ^ "Why Teslas and other electric vehicles have problems in cold weather — and how EV owners can prevent issues - CBS News". www.cbsnews.com. 2024-01-18. Retrieved 2024-07-10.
- ^ a b Kim, Daehyun; Koo, Keunhwi; Jeong, Jae Jin; Goh, Taedong; Kim, Sang Woo (October 2013). "Second-Order Discrete-Time Sliding Mode Observer for State of Charge Determination Based on a Dynamic Resistance Li-Ion Battery Model". Energies. 6 (10): 5538–5551. doi:10.3390/en6105538. ISSN 1996-1073.
- ^ Han, Xuebing; Lu, Languang; Zheng, Yuejiu; Feng, Xuning; Li, Zhe; Li, Jianqiu; Ouyang, Minggao (August 2018). "A review on the key issues of the lithium ion battery degradation among the whole life cycle". ETransportation. 1: 100005. doi:10.1016/j.etran.2019.100005. ISSN 2590-1168.
- ^ Vetter, J.; Novák, P.; Wagner, M.R.; Veit, C.; Möller, K.-C.; Besenhard, J.O.; Winter, M.; Wohlfahrt-Mehrens, M.; Vogler, C.; Hammouche, A. (September 2005). "Ageing mechanisms in lithium-ion batteries". Journal of Power Sources. 147 (1–2): 269–281. Bibcode:2005JPS...147..269V. doi:10.1016/j.jpowsour.2005.01.006. ISSN 0378-7753.
- ^ Zhang, Shuzhi; Guo, Xu; Dou, Xiaoxin; Zhang, Xiongwen (August 2020). "A data-driven coulomb counting method for state of charge calibration and estimation of lithium-ion battery". Sustainable Energy Technologies and Assessments. 40: 100752. Bibcode:2020SETA...4000752Z. doi:10.1016/j.seta.2020.100752. ISSN 2213-1388.
- ^ a b c Wang, Jianfeng; Jia, Yongkai; Yang, Na; Lu, Yanbing; Shi, Mengyu; Ren, Xutong; Lu, Dongchen (2022-08-25). "Precise equivalent circuit model for Li-ion battery by experimental improvement and parameter optimization". Journal of Energy Storage. 52: 104980. Bibcode:2022JEnSt..5204980W. doi:10.1016/j.est.2022.104980. ISSN 2352-152X.
- ^ a b "Battery capacity test for Lithium-ion battery – Neware battery testers". Retrieved 2024-07-12.
- ^ a b Madani, Seyed Saeed; Schaltz, Erik; Kær, Søren Knudsen (2018-11-26). "A Review of Different Electric Equivalent Circuit Models and Parameter Identification Methods of Lithium-Ion Batteries". ECS Transactions. 87 (1): 23–37. Bibcode:2018ECSTr..87a..23S. doi:10.1149/08701.0023ecst. ISSN 1938-6737.
- ^ a b Zhao, Zhaoyang; Zou, Yang; Liu, Peng; Lai, Zhaogui; Wen, Lei; Jin, Ying (June 2022). "EIS equivalent circuit model prediction using interpretable machine learning and parameter identification using global optimization algorithms". Electrochimica Acta. 418: 140350. doi:10.1016/j.electacta.2022.140350. ISSN 0013-4686.
- ^ a b Shepard, Jeff (2023-01-04). "What does electrochemical impedance spectroscopy have to do with Li-ion health?". Battery Power Tips. Retrieved 2024-07-11.
- ^ Sepasi, Saeed; Ghorbani, Reza; Liaw, Bor Yann (2014-01-01). "A novel on-board state-of-charge estimation method for aged Li-ion batteries based on model adaptive extended Kalman filter". Journal of Power Sources. 245: 337–344. doi:10.1016/j.jpowsour.2013.06.108. ISSN 0378-7753.
- ^ Pham, Cong-Toan; Månsson, Daniel (2018-08-01). "Optimal energy storage sizing using equivalent circuit modelling for prosumer applications (Part II)". Journal of Energy Storage. 18: 1–15. doi:10.1016/j.est.2018.04.015. ISSN 2352-152X.
- ^ Hou, Guiqi; Liu, Xianqing; He, Wenxuan; Wang, Changhong; Zhang, Jiangyun; Zeng, Xiaoxing; Li, Zhuoming; Shao, Dan (2022-11-30). "An equivalent circuit model for battery thermal management system using phase change material and liquid cooling coupling". Journal of Energy Storage. 55: 105834. doi:10.1016/j.est.2022.105834. ISSN 2352-152X.