Functional group

Example functional groups of benzyl acetate:
  Ester group
  Acetyl group
  Benzyloxy group

In organic chemistry, a functional group is any substituent or moiety in a molecule that causes the molecule's characteristic chemical reactions. The same functional group will undergo the same or similar chemical reactions regardless of the rest of the molecule's composition.[1][2] This enables systematic prediction of chemical reactions and behavior of chemical compounds and the design of chemical synthesis. The reactivity of a functional group can be modified by other functional groups nearby. Functional group interconversion can be used in retrosynthetic analysis to plan organic synthesis.

A functional group is a group of atoms in a molecule with distinctive chemical properties, regardless of the other atoms in the molecule. The atoms in a functional group are linked to each other and to the rest of the molecule by covalent bonds. For repeating units of polymers, functional groups attach to their nonpolar core of carbon atoms and thus add chemical character to carbon chains. Functional groups can also be charged, e.g. in carboxylate salts (−COO), which turns the molecule into a polyatomic ion or a complex ion. Functional groups binding to a central atom in a coordination complex are called ligands. Complexation and solvation are also caused by specific interactions of functional groups. In the common rule of thumb "like dissolves like", it is the shared or mutually well-interacting functional groups which give rise to solubility. For example, sugar dissolves in water because both share the hydroxyl functional group (−OH) and hydroxyls interact strongly with each other. Plus, when functional groups are more electronegative than atoms they attach to, the functional groups will become polar, and the otherwise nonpolar molecules containing these functional groups become polar and so become soluble in some aqueous environment.

Combining the names of functional groups with the names of the parent alkanes generates what is termed a systematic nomenclature for naming organic compounds. In traditional nomenclature, the first carbon atom after the carbon that attaches to the functional group is called the alpha carbon; the second, beta carbon, the third, gamma carbon, etc. If there is another functional group at a carbon, it may be named with the Greek letter, e.g., the gamma-amine in gamma-aminobutyric acid is on the third carbon of the carbon chain attached to the carboxylic acid group. IUPAC conventions call for numeric labeling of the position, e.g. 4-aminobutanoic acid. In traditional names various qualifiers are used to label isomers, for example, isopropanol (IUPAC name: propan-2-ol) is an isomer of n-propanol (propan-1-ol). The term moiety has some overlap with the term "functional group". However, a moiety is an entire "half" of a molecule, which can be not only a single functional group, but also a larger unit consisting of multiple functional groups. For example, an "aryl moiety" may be any group containing an aromatic ring, regardless of how many functional groups the said aryl has.

Table of common functional groups

The following is a list of common functional groups.[3] In the formulas, the symbols R and R' usually denote an attached hydrogen, or a hydrocarbon side chain of any length, but may sometimes refer to any group of atoms.

Hydrocarbons

Hydrocarbons are a class of molecule that is defined by functional groups called hydrocarbyls that contain only carbon and hydrogen, but vary in the number and order of double bonds. Each one differs in type (and scope) of reactivity.

Chemical class Group Formula Structural Formula Prefix Suffix Example
Alkane Alkyl R(CH2)nH Alkyl alkyl- -ane
Ethane
Alkene Alkenyl R2C=CR2 Alkene alkenyl- -ene ethylene
Ethylene
(Ethene)
Alkyne Alkynyl RC≡CR′ alkynyl- -yne
Acetylene
(Ethyne)
Benzene derivative Phenyl RC6H5
RPh
Phenyl phenyl- -benzene
Cumene
(Isopropylbenzene)

There are also a large number of branched or ring alkanes that have specific names, e.g., tert-butyl, bornyl, cyclohexyl, etc. There are several functional groups that contain an alkene such as vinyl group, allyl group, or acrylic group. Hydrocarbons may form charged structures: positively charged carbocations or negative carbanions. Carbocations are often named -um. Examples are tropylium and triphenylmethyl cations and the cyclopentadienyl anion.

Groups containing halogens

Haloalkanes are a class of molecule that is defined by a carbon–halogen bond. This bond can be relatively weak (in the case of an iodoalkane) or quite stable (as in the case of a fluoroalkane). In general, with the exception of fluorinated compounds, haloalkanes readily undergo nucleophilic substitution reactions or elimination reactions. The substitution on the carbon, the acidity of an adjacent proton, the solvent conditions, etc. all can influence the outcome of the reactivity.

Chemical class Group Formula Structural formula Prefix Suffix Example
haloalkane halo RX halo- alkyl halide
Chloroethane
(Ethyl chloride)
fluoroalkane fluoro RF fluoro- alkyl fluoride
Fluoromethane
(Methyl fluoride)
chloroalkane chloro RCl chloro- alkyl chloride Chloromethane
Chloromethane
(Methyl chloride)
bromoalkane bromo RBr bromo- alkyl bromide
Bromomethane
(Methyl bromide)
iodoalkane iodo RI iodo- alkyl iodide Iodomethane
Iodomethane
(Methyl iodide)

Groups containing oxygen

Compounds that contain C–O bonds each possess differing reactivity based upon the location and hybridization of the C–O bond, owing to the electron-withdrawing effect of sp-hybridized oxygen (carbonyl groups) and the donating effects of sp2-hybridized oxygen (alcohol groups).

Chemical class Group Formula Structural formula Prefix Suffix Example
Alcohol Hydroxy ROH
Hydroxyl
Hydroxyl
hydroxy- -ol methanol
Methanol
Ketone Ketone RCOR′ Ketone -oyl- (-COR′)
or
oxo- (=O)
-one Butanone
Butanone
(Methyl ethyl ketone)
Aldehyde Aldehyde RCHO Aldehyde formyl- (-COH)
or
oxo- (=O)
-al acetaldehyde
Acetaldehyde
(Ethanal)
Acyl halide Haloformyl RCOX Acyl halide carbonofluoridoyl-
carbonochloridoyl-
carbonobromidoyl-
carbonoiodidoyl-
-oyl fluoride
-oyl chloride
-oyl bromide
-oyl iodide
Acetyl chloride
Acetyl chloride
(Ethanoyl chloride)
Carbonate Carbonate ester ROCOOR′ Carbonate (alkoxycarbonyl)oxy- alkyl carbonate triphosgene
Triphosgene
(bis(trichloromethyl) carbonate)
Carboxylate Carboxylate RCOO
Carboxylate
Carboxylate

Carboxylate
carboxylato- -oate Sodium acetate
Sodium acetate
(Sodium ethanoate)
Carboxylic acid Carboxyl RCOOH Carboxylic acid carboxy- -oic acid Acetic acid
Acetic acid
(Ethanoic acid)
Ester Carboalkoxy RCOOR′ Ester alkanoyloxy-
or
alkoxycarbonyl
alkyl alkanoate Ethyl butyrate
Ethyl butyrate
(Ethyl butanoate)
Hydroperoxide Hydroperoxy ROOH Hydroperoxy hydroperoxy- alkyl hydroperoxide tert-Butyl hydroperoxide
tert-Butyl hydroperoxide
Peroxide Peroxy ROOR′ Peroxy peroxy- alkyl peroxide Di-tert-butyl peroxide
Di-tert-butyl peroxide
Ether Ether ROR′
Ether
Ether
alkoxy- alkyl ether Diethyl ether
Diethyl ether
(Ethoxyethane)
Hemiacetal Hemiacetal R2CH(OR1)(OH) Hemiacetal alkoxy -ol -al alkyl hemiacetal
Hemiketal Hemiketal RC(ORʺ)(OH)R′ Hemiketal alkoxy -ol -one alkyl hemiketal
Acetal Acetal RCH(OR′)(OR″) Acetal dialkoxy- -al dialkyl acetal
Ketal (or Acetal) Ketal (or Acetal) RC(OR″)(OR‴)R′ Ketal dialkoxy- -one dialkyl ketal
Orthoester Orthoester RC(OR′)(OR″)(OR‴) Orthoester trialkoxy-
Heterocycle
(if cyclic)
Methylenedioxy (–OCH2O–)

methylenedioxy- -dioxole
1,2-Methylenedioxybenzene
(1,3-Benzodioxole)
Orthocarbonate ester Orthocarbonate ester C(OR)(OR′)(OR″)(OR‴) Orthocarbonate ester tetralkoxy- tetraalkyl orthocarbonate
Tetramethoxymethane
Organic acid anhydride Carboxylic anhydride R1(CO)O(CO)R2 Carboxylic anhydride anhydride Butyric anhydride
Butyric anhydride

Groups containing nitrogen

Compounds that contain nitrogen in this category may contain C-O bonds, such as in the case of amides.

Chemical class Group Formula Structural formula Prefix Suffix Example
Amide Carboxamide RCONR'R" Amide carboxamido-
or
carbamoyl-
-amide acetamide
Acetamide
(Ethanamide)
Amidine Amidine R4C(NR1)(NR2R3) amidino- -amidine acetamidine

(acetimidamide)

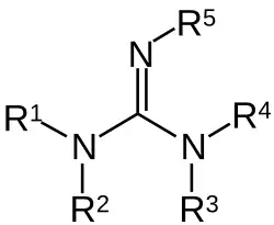
Guanidine Guanidine RNC(NR2)2) Guanidin- -Guanidine
Guanidinopropionic acid
Amines Primary amine RNH2 Primary amine amino- -amine methylamine
Methylamine
(Methanamine)
Secondary amine R'R"NH Secondary amine amino- -amine dimethylamine
Dimethylamine
Tertiary amine R3N Tertiary amine amino- -amine trimethylamine
Trimethylamine
4° ammonium ion R4N+ Quaternary ammonium cation ammonio- -ammonium Choline
Choline
Hydrazone R'R"CN2H2 hydrazino- -hydrazine
Benzophenone
Imine Primary ketimine RC(=NH)R' Imine imino- -imine
Secondary ketimine RC(=NR)R' Imine imino- -imine
Primary aldimine RC(=NH)H Imine imino- -imine Ethanimine
Ethanimine
Secondary aldimine RC(=NR')H Imine imino- -imine
Imide Imide (RCO)2NR' Imide imido- -imide Succinimide
Succinimide
(Pyrrolidine-2,5-dione)
Azide Azide RN3 Organoazide azido- alkyl azide Phenyl azide
Phenyl azide
(Azidobenzene)
Azo compound Azo
(Diimide)
RN2R' Azo.pngl azo- -diazene Methyl orange
Methyl orange
(p-dimethylamino-azobenzenesulfonic acid)
Cyanates Cyanate ROCN Cyanate cyanato- alkyl cyanate Methyl cyanate
Methyl cyanate
Isocyanate RNCO Isocyanate isocyanato- alkyl isocyanate Methyl isocyanate
Methyl isocyanate
Nitrate Nitrate RONO2 Nitrate nitrooxy-, nitroxy-

alkyl nitrate

Amyl nitrate
Amyl nitrate
(1-nitrooxypentane)
Nitrile Nitrile RCN cyano- alkanenitrile
alkyl cyanide
Benzonitrile
Benzonitrile
(Phenyl cyanide)
Isonitrile RNC isocyano- alkaneisonitrile
alkyl isocyanide

Methyl isocyanide
Nitrite Nitrosooxy RONO Nitrite nitrosooxy-

alkyl nitrite

Amyl nitrite
Isoamyl nitrite
(3-methyl-1-nitrosooxybutane)
Nitro compound Nitro RNO2 Nitro nitro-   Nitromethane
Nitromethane
Nitroso compound Nitroso RNO Nitroso nitroso- (Nitrosyl-)   Nitrosobenzene
Nitrosobenzene
Oxime Oxime RCH=NOH Oxime   Oxime Acetone oxime
Acetone oxime
(2-Propanone oxime)
Pyridine derivative Pyridyl RC5H4N

4-pyridyl group
3-pyridyl group
2-pyridyl group

4-pyridyl
(pyridin-4-yl)

3-pyridyl
(pyridin-3-yl)

2-pyridyl
(pyridin-2-yl)

-pyridine Nicotine
Nicotine
Carbamate ester Carbamate RO(C=O)NR2 Carbamate (-carbamoyl)oxy- -carbamate Chlorpropham
Chlorpropham
(Isopropyl (3-chlorophenyl)carbamate)

Groups containing sulfur

Compounds that contain sulfur exhibit unique chemistry due to sulfur's ability to form more bonds than oxygen, its lighter analogue on the periodic table. Substitutive nomenclature (marked as prefix in table) is preferred over functional class nomenclature (marked as suffix in table) for sulfides, disulfides, sulfoxides and sulfones.

Chemical class Group Formula Structural formula Prefix Suffix Example
Thiol Sulfhydryl RSH Sulfhydryl sulfanyl-
(-SH)
-thiol Ethanethiol
Ethanethiol
Sulfide
(Thioether)
Sulfide RSR' Sulfide group substituent sulfanyl-
(-SR')
di(substituentsulfide
Dimethyl sulfide

(Methylsulfanyl)methane (prefix) or
Dimethyl sulfide (suffix)
Disulfide Disulfide RSSR' Disulfide substituent disulfanyl-
(-SSR')
di(substituentdisulfide
Dimethyl disulfide

(Methyldisulfanyl)methane (prefix) or
Dimethyl disulfide (suffix)
Sulfoxide Sulfinyl RSOR' Sulfinyl group -sulfinyl-
(-SOR')
di(substituentsulfoxide DMSO
(Methanesulfinyl)methane (prefix) or
Dimethyl sulfoxide (suffix)
Sulfone Sulfonyl RSO2R' Sulfonyl group -sulfonyl-
(-SO2R')
di(substituentsulfone Dimethyl sulfone
(Methanesulfonyl)methane (prefix) or
Dimethyl sulfone (suffix)
Sulfinic acid Sulfino RSO2H sulfino-
(-SO2H)
-sulfinic acid Hypotaurine
2-Aminoethanesulfinic acid
Sulfonic acid Sulfo RSO3H Sulfonyl group sulfo-
(-SO3H)
-sulfonic acid Benzenesulfonic acid
Benzenesulfonic acid
Sulfonate ester Sulfo RSO3R' Sulfonic ester (-sulfonyl)oxy-
or
alkoxysulfonyl-
R' R-sulfonate Methyl trifluoromethanesulfonate
Methyl trifluoromethanesulfonate or
Methoxysulfonyl trifluoromethane (prefix)
Thiocyanate Thiocyanate RSCN Thiocyanate thiocyanato-
(-SCN)
substituent thiocyanate Phenyl thiocyanate
Phenyl thiocyanate
Isothiocyanate RNCS Isothiocyanate isothiocyanato-
(-NCS)
substituent isothiocyanate Allyl isothiocyanate
Allyl isothiocyanate
Thioketone Carbonothioyl RCSR' Thione -thioyl-
(-CSR')
or
sulfanylidene-
(=S)
-thione Diphenylmethanethione
Diphenylmethanethione
(Thiobenzophenone)
Thial Carbonothioyl RCSH Thial methanethioyl-
(-CSH)
or
sulfanylidene-
(=S)
-thial
Thiocarboxylic acid Carbothioic S-acid RC=OSH
Thioic S-acid
Thioic S-acid
mercaptocarbonyl- -thioic S-acid Thiobenzoic acid
Thiobenzoic acid
(benzothioic S-acid)
Carbothioic O-acid RC=SOH
Thioic O-acid
Thioic O-acid
hydroxy(thiocarbonyl)- -thioic O-acid
Thioester Thiolester RC=OSR' Thiolester S-alkyl-alkane-thioate S-methyl thioacrylate
S-Methyl thioacrylate
(S-Methyl prop-2-enethioate)
Thionoester RC=SOR' Thionoester O-alkyl-alkane-thioate
Dithiocarboxylic acid Carbodithioic acid RCS2H
Dithiocarboxylic acid
Dithiocarboxylic acid
dithiocarboxy- -dithioic acid Dithiobenzoic acid
Dithiobenzoic acid
(Benzenecarbodithioic acid)
Dithiocarboxylic acid ester Carbodithio RC=SSR' Dithioate -dithioate

Groups containing phosphorus

Compounds that contain phosphorus exhibit unique chemistry due to the ability of phosphorus to form more bonds than nitrogen, its lighter analogue on the periodic table.

Chemical class Group Formula Structural formula Prefix Suffix Example
Phosphine
(Phosphane)
Phosphino R3P A tertiary phosphine phosphanyl- -phosphane Methylpropylphosphane
Methylpropylphosphane
Phosphonic acid Phosphono Phosphono group phosphono- substituent phosphonic acid Benzylphosphonic acid
Benzylphosphonic acid
Phosphate Phosphate Phosphate group phosphonooxy-
or
O-phosphono- (phospho-)
substituent phosphate Glyceraldehyde 3-phosphate
Glyceraldehyde 3-phosphate (suffix)
Phosphocholine
O-Phosphonocholine (prefix)
(Phosphocholine)
Phosphodiester Phosphate HOPO(OR)2 Phosphodiester [(alkoxy)hydroxyphosphoryl]oxy-
or
O-[(alkoxy)hydroxyphosphoryl]-
di(substituent) hydrogen phosphate
or
phosphoric acid di(substituentester
DNA
O‑[(2‑Guanidinoethoxy)hydroxyphosphoryl]‑l‑serine (prefix)
(Lombricine)

Groups containing boron

Compounds containing boron exhibit unique chemistry due to their having partially filled octets and therefore acting as Lewis acids.

Chemical class Group Formula Structural formula Prefix Suffix Example
Boronic acid Borono RB(OH)2
Borono- substituent
boronic acid
Boronic ester Boronate RB(OR)2
O-[bis(alkoxy)alkylboronyl]- substituent
boronic acid
di(substituent) ester
Borinic acid Borino R2BOH
Hydroxyborino- di(substituent)
borinic acid
Borinic ester Borinate R2BOR
O-[alkoxydialkylboronyl]- di(substituent)
borinic acid
substituent ester
2-Aminoethoxydiphenyl borate
Diphenylborinic acid 2-aminoethyl ester
(2-Aminoethoxydiphenyl borate)

Groups containing metals

Chemical class Structural formula Prefix Suffix Example
Alkyllithium RLi (tri/di)alkyl- -lithium

methyllithium

Alkylmagnesium halide RMgX (X=Cl, Br, I)[note 1] -magnesium halide

methylmagnesium chloride

Alkylaluminium Al2R6 -aluminium

trimethylaluminium

Silyl ether R3SiOR -silyl ether

trimethylsilyl triflate

note 1 Fluorine is too electronegative to be bonded to magnesium; it becomes an ionic salt instead.

Names of radicals or moieties

These names are used to refer to the moieties themselves or to radical species, and also to form the names of halides and substituents in larger molecules.

When the parent hydrocarbon is unsaturated, the suffix ("-yl", "-ylidene", or "-ylidyne") replaces "-ane" (e.g. "ethane" becomes "ethyl"); otherwise, the suffix replaces only the final "-e" (e.g. "ethyne" becomes "ethynyl").[4]

When used to refer to moieties, multiple single bonds differ from a single multiple bond. For example, a methylene bridge (methanediyl) has two single bonds, whereas a methylidene group (methylidene) has one double bond. Suffixes can be combined, as in methylidyne (triple bond) vs. methylylidene (single bond and double bond) vs. methanetriyl (three double bonds).

There are some retained names, such as methylene for methanediyl, 1,x-phenylene for phenyl-1,x-diyl (where x is 2, 3, or 4),[5] carbyne for methylidyne, and trityl for triphenylmethyl.

Chemical class Group Formula Structural formula Prefix Suffix Example
Single bond R• Ylo-[6] -yl
Double bond R: ? -ylidene
Triple bond R⫶ ? -ylidyne
Carboxylic acyl radical Acyl R−C(=O)• ? -oyl

See also

References

  1. ^ Compendium of Chemical Terminology (IUPAC "Gold Book") functional group Archived 2019-05-16 at the Wayback Machine
  2. ^ March, Jerry (1985). Advanced Organic Chemistry: Reactions, Mechanisms, and Structure (3rd ed.). New York: Wiley. ISBN 9780471854722. OCLC 642506595.
  3. ^ Brown, Theodore (2002). Chemistry: the central science. Upper Saddle River, NJ: Prentice Hall. p. 1001. ISBN 0130669970.
  4. ^ Moss, G. P.; W.H. Powell. "RC-81.1.1. Monovalent radical centers in saturated acyclic and monocyclic hydrocarbons, and the mononuclear EH4 parent hydrides of the carbon family". IUPAC Recommendations 1993. Department of Chemistry, Queen Mary University of London. Archived from the original on 9 February 2015. Retrieved 25 February 2015.
  5. ^ "R-2. 5 Substituent Prefix Names Derived from Parent Hydrides". IUPAC. 1993. Archived from the original on 2019-03-22. Retrieved 2018-12-15. section P-56.2.1
  6. ^ "Revised Nomenclature for Radicals, Ions, Radical Ions and Related Species (IUPAC Recommendations 1993: RC-81.3. Multiple radical centers)". Archived from the original on 2017-06-11. Retrieved 2014-12-02.