Gauss iterated map

Cobweb plot of the Gauss map for and . This shows an 8-cycle.

In mathematics, the Gauss map (also known as Gaussian map[1] or mouse map), is a nonlinear iterated map of the reals into a real interval given by the Gaussian function:

where α and β are real parameters.

Named after Johann Carl Friedrich Gauss, the function maps the bell shaped Gaussian function similar to the logistic map.


Properties

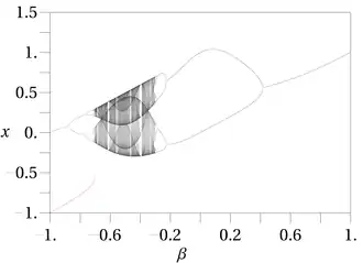
In the parameter real space can be chaotic. The map is also called the mouse map because its bifurcation diagram resembles a mouse (see Figures).


Bifurcation diagram of the Gauss map with and in the range −1 to +1. This graph resembles a mouse.
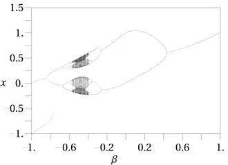
Bifurcation diagram of the Gauss map with and in the range −1 to +1.

References

  1. ^ Chaos and nonlinear dynamics: an introduction for scientists and engineers, by Robert C. Hilborn, 2nd Ed., Oxford, Univ. Press, New York, 2004.