K2-24
| Observation data Epoch J2000 Equinox J2000 | |
|---|---|
| Constellation | Scorpius[1] |
| Right ascension | 16h 10m 17.6977s[2] |
| Declination | −24° 59′ 25.261″[2] |
| Apparent magnitude (V) | 11.068±0.110[3] |
| Characteristics | |
| Evolutionary stage | subgiant[2] |
| Spectral type | G3[4] |
| Apparent magnitude (J) | 9.635±0.024[5] |
| Apparent magnitude (H) | 9.294±0.022[5] |
| Apparent magnitude (K) | 9.180±0.021[5] |
| Variable type | Planetary transit[4] |
| Astrometry | |
| Radial velocity (Rv) | 1.18±0.32[2] km/s |
| Proper motion (μ) | RA: −59.891±0.021[2] mas/yr Dec.: −58.702±0.014[2] mas/yr |
| Parallax (π) | 5.8273±0.0169 mas[2] |
| Distance | 560 ± 2 ly (171.6 ± 0.5 pc) |
| Details[6] | |
| Mass | 1.041+0.017 −0.016 M☉ |
| Radius | 1.185±0.011 R☉ |
| Surface gravity (log g) | 4.48±0.03 cgs |
| Temperature | 5726±65 K |
| Metallicity [Fe/H] | 0.41±0.05 dex |
| Age | 4.9±1.7 Gyr |
| Other designations | |
| Gaia DR2 6049750234317822208, EPIC 203771098, TYC 6784-837-1, 2MASS J16101770-2459251[7] | |
| Database references | |
| SIMBAD | data |
| Exoplanet Archive | data |
K2-24 (also known as EPIC 203771098) is a metal-rich G3-type larger and more massive than the Sun, located 560 light-years (172 parsecs) away in the constellation Scorpius. Two confirmed transiting exoplanets are known to orbit this star.[4] An attempt to detect stellar companions using adaptive optics imaging at the Keck telescope was negative[4] however later observations using lucky imaging at the Danish 1.54 m telescope at La Silla Observatory detected a possible companion at 3.8 arcseconds distance from K2-24. This candidate companion being over 8 magnitudes fainter than K2-24 and with a color temperature of 5400 Kelvin, is inconsistent with a bound main sequence companion.[8]
Planetary system
Discovery
Erik A. Petigura and team analyzed data obtained from the Kepler space telescope during its observation of the K2 Campaign 2 field. They reported the discovery and confirmation of both planets b and c.[4] The Planetary signals were independently detected by Andrew Vanderburg and collaborators.[9]
Characteristics

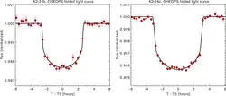
The two known planets in this system have radii equal to 5.4 and 7.5 times that of the Earth. This places both planets radii between that of Uranus and Saturn, a range not present within the Solar System. With orbital periods of 20.9 days and 42.4 days, the planets are within 1% of the 2:1 mean-motion resonance. The low observed eccentricities and near orbital resonance provide evidence regarding the formation and evolution of the system, suggesting that they could possibly have resulted from gravitational interactions with a protoplanetary disk. K2-24c at 15.4 earth masses is significantly lighter than K2-24b's 19 Earth masses despite being a larger planet. It is estimated that K2-24b's atmosphere makes up 26% of its mass while K2-24c's atmosphere makes up 52%. The current model of core-nucleated accretion predicts that runaway accretion should occur when a planet reaches approximately 50% atmosphere by mass, this makes K2-24c a potential challenge to the model.[10]
There is also a candidate planet, K2-24d, with a mass of 53 M🜨 and an orbital period of 470 days. While the radial velocity signal of planet was confirmed, no validation tests were run to confirm its existence, rendering it as unconfirmed.[6]
A transit observation of K2-24b with the Hubble Space Telescope's Wide Field Camera 3 suggested the presence of ammonia, in a high abundance, but did not find evidence for water.[11]
| Companion (in order from star) |
Mass | Semimajor axis (AU) |
Orbital period (days) |
Eccentricity | Inclination | Radius |
|---|---|---|---|---|---|---|
| b | 19.0+2.2 −2.1 M🜨 |
0.1673+0.0034 −0.0056 |
20.88977+0.00034 −0.00035[10] |
0.06±0.01 [10] | 89.63±0.25° | 5.638+0.065 −0.061 R🜨 |
| c | 16.4+1.3 −0.2 M🜨 |
0.262+0.014 −0.011 |
42.3391±0.0012 [10] | <0.05[12] | 89.44+0.15 −0.11° |
7.93+0.12 −0.13 R🜨 |
| d (unconfirmed) | 53+9 −4 M🜨 |
— | 469+10 −15 |
0.00 | — | — |

References
- ^ Roman, Nancy G. (1987). "Identification of a constellation from a position". Publications of the Astronomical Society of the Pacific. 99 (617): 695. Bibcode:1987PASP...99..695R. doi:10.1086/132034. Constellation record for this object at VizieR.
- ^ a b c d e f g Vallenari, A.; et al. (Gaia collaboration) (2023). "Gaia Data Release 3. Summary of the content and survey properties". Astronomy and Astrophysics. 674: A1. arXiv:2208.00211. Bibcode:2023A&A...674A...1G. doi:10.1051/0004-6361/202243940. S2CID 244398875. Gaia DR3 record for this source at VizieR.
- ^ Henden, A. A.; et al. (2016). "VizieR Online Data Catalog: AAVSO Photometric All Sky Survey (APASS) DR9 (Henden+, 2016)". VizieR On-line Data Catalog: II/336. Originally Published in: 2015AAS...22533616H. 2336. Bibcode:2016yCat.2336....0H. Vizier catalog entry
- ^ a b c d e Petigura, Erik A.; et al. (2016). "Two Transiting Low Density Sub-Saturns from K2". The Astrophysical Journal. 818 (1) 36. arXiv:1511.04497. Bibcode:2016ApJ...818...36P. doi:10.3847/0004-637X/818/1/36.
- ^ a b c Skrutskie, Michael F.; et al. (1 February 2006). "The Two Micron All Sky Survey (2MASS)". The Astronomical Journal. 131 (2): 1163–1183. Bibcode:2006AJ....131.1163S. doi:10.1086/498708. Vizier catalog entry
- ^ a b c d Nascimbeni, V.; et al. (2024). "The K2-24 planetary system revisited by CHEOPS". Astronomy & Astrophysics. 690 A349. arXiv:2409.02995. Bibcode:2024A&A...690A.349N. doi:10.1051/0004-6361/202450852.
- ^ "K2-24". SIMBAD. Centre de données astronomiques de Strasbourg. Retrieved 2019-09-27.
- ^ Evans, D. F.; et al. (2018). "High-resolution Imaging of Transiting Extrasolar Planetary systems (HITEP). II. Lucky Imaging results from 2015 and 2016". Astronomy and Astrophysics. 610 A20. arXiv:1709.07476. Bibcode:2018A&A...610A..20E. doi:10.1051/0004-6361/201731855.
- ^ Vanderburg, Andrew; et al. (2016). "Planetary Candidates from the First Year of the K2 Mission". The Astrophysical Journal Supplement Series. 222 (1) 14. arXiv:1511.07820. Bibcode:2016ApJS..222...14V. doi:10.3847/0067-0049/222/1/14.
- ^ a b c d Petigura, Erik A.; et al. (2018). "Dynamics and Formation of the Near-resonant K2-24 System: Insights from Transit-timing Variations and Radial Velocities". The Astronomical Journal. 156 (3) 89. arXiv:1806.08959. Bibcode:2018AJ....156...89P. doi:10.3847/1538-3881/aaceac.
- ^ Edwards, Billy; et al. (2023-11-01). "Exploring the Ability of Hubble Space Telescope WFC3 G141 to Uncover Trends in Populations of Exoplanet Atmospheres through a Homogeneous Transmission Survey of 70 Gaseous Planets". The Astrophysical Journal Supplement Series. 269 (1) 31. Appendix B.9. arXiv:2211.00649. Bibcode:2023ApJS..269...31E. doi:10.3847/1538-4365/ac9f1a.
- ^ Antoniadou, Kyriaki I.; Libert, Anne-Sophie (23 June 2020). "Exploiting periodic orbits as dynamical clues for Kepler and K2 systems". Astronomy & Astrophysics. 640 A55. arXiv:2006.12895. Bibcode:2020A&A...640A..55A. doi:10.1051/0004-6361/202037779. S2CID 219980541.