Nitenpyram

Nitenpyram
Nitenpyram
Nitenpyram
Names
Preferred IUPAC name
(E)-N1-[(6-Chloropyridin-3-yl)methyl]-N1-ethyl-N1-methyl-2-nitroethene-1,1-diamine
Other names
Capstar
Identifiers
3D model (JSmol)
8489488
ChEBI
ChEMBL
ChemSpider
ECHA InfoCard 100.162.838
EC Number
  • 601-735-5
KEGG
UNII
  • InChI=1S/C11H15ClN4O2/c1-3-15(11(13-2)8-16(17)18)7-9-4-5-10(12)14-6-9/h4-6,8,13H,3,7H2,1-2H3/b11-8+
    Key: CFRPSFYHXJZSBI-DHZHZOJOSA-N
  • ClC1=CC=C(C=N1)CN(\C(=C\[N+](=O)[O-])\NC)CC
Properties
C11H15ClN4O2
Molar mass 270.72 g/mol
Appearance Pale yellow crystalline solid
Density 1.4 (g/mL)
Melting point 82 °C (180 °F; 355 K)
Hazards
GHS labelling:
GHS07: Exclamation mark
Warning
H302
P264, P270, P301+P312, P330, P501
Pharmacology
QP53BX02 (WHO)
Except where otherwise noted, data are given for materials in their standard state (at 25 °C [77 °F], 100 kPa).
☒N verify (what is checkY☒N ?)
Infobox references

Nitenpyram is a chemical frequently used as an insecticide in agriculture and veterinary medicine. The compound is an insect neurotoxin belonging to the class of neonicotinoids which works by blocking neural signaling of the central nervous system. It does so by binding irreversibly to the nicotinic acetylcholine receptor (nACHr) causing a stop of the flow of ions in the postsynaptic membrane of neurons leading to paralysis and death. Nitenpyram is highly selective towards the variation of the nACHr which insects possess, and has seen extensive use in targeted, insecticide applications.

Known under the codename TI 304 during field testing starting in 1989, the compound's first documented commercial use was in 1995 under the name "Bestguard" as an agricultural insecticide.[1] Later, nitenpyram was expanded for use as a flea treatment by the Novartis company under the trade name "Capstar", with a subsequent FDA approval for non-food producing animals in October 2000. The current producer of nitenpyram itself is the Sumitomo chemical company. Nitenpyram continues to be used commercially, though data from market surveys indicate a significant decrease in the global usage compared to other insecticides or neonicotinoids.[2]

Due to its use as an insecticide and treatment of non-food producing animals, it was not deemed necessary to research the human toxicology during its main use, and, as such, not much is known about the details of nitenpyram's effects on humans. Looking at rat experiments however, the lethal amount of nitenpyram is quite high (on the order of grams) in mammals in general, whereas invertebrates will die with only micro or nanograms of the substance.[3][4]

Neonicotinoids, in general, have a low degradation rate when used for agricultural purposes, which allows for long-lasting protection of the crops against plant-sucking insects and indirectly the plant diseases these insects might carry.[1]

Structure

Nitenpyram ( (E)-N-(6-Chloro-3-pyridylmethyl)- N-ethyl-N'-methyl-2-nitrovinylidenediamine) is an open-chain chloropyridyl neonicotinoid. Nitenpyram consists of a chloronicotinyl heterocyclic group common to all first generation neonicotinoids and a pharmacophore, the reactive group of the molecule. Nitenpyram possesses a nitroamine pharmacophore which is known to be the main reaction site in the binding of the compound to the nACh receptor, though the specificity of the reaction is not yet fully understood for neonicotinoids in general.[1] Due to its polar groups, nitenpyram is quite hydrophilic, with an extremely high water solubility.

Mechanism of action

Though neonicotinoids are the largest group of insecticides used in today's agricultural world and prevalent in veterinary treatments, toxicity in general, e.g., genotoxicity and biotransformation, remains among the most controversial matters on the topic of neonicotinoids.[5] This is primarily due to the lack of concrete systematic work.[5] However, studies have been done on binding phenomena between neonicotinoids and proteins, serving as an indicator to its likely behavior in human physiological conditions.[6]

Nitenpyram, a synthetic, nicotine-related chemical (neonicotinoid), has an effect on the nicotinic acetylcholine receptors and, for this reason, is considered similar to nicotine (agonists). Nicotinic acetylcholine receptors are involved in the sympathetic and parasympathetic nervous systems, present on the muscle cells where the cells from the nervous systems and the muscle cells form synapses. Variations in nicotinic-acetylcholine-receptor-binding affinity persists between species.

Although nitenpyram is an agonist of nicotine for the nicotinic acetylcholine receptor, it has a much lower affinity for the nicotine acetylcholine receptor in mammals. For most insects nitenpyram is a very lethal compound. Nitenpyram will bind irreversibly to the nicotinic acetylcholine receptors, paralysing those exposed to the compound. Despite lower affinity levels, mammals can still get a nicotine poisoning response from too much neonicotinoids, hence it is of importance to provide the appropriate dose for a flea-infested pet and it's always best to consult a vet.

Nitenpyram itself and its metabolites, apart from 6-chloronicotinic acid, have not been through in-depth toxicological investigations.[7] Similarly genotoxicity effects remain ambiguous. 6-chloronicotinic acid, according to a research group, is non-carcinogenic and is not considered a developmental toxicant.[6]

Metabolism

The literature on the biotransformation of nitenpyram has been scarce. However, some studies have been conducted.[6] Toxicokinetic studies have shown that human intestinal caco-2 cell line can absorb imidacloprid at a very high rate of efficiency.[6][7] The compound completely absorbs (>92%) from the gastrointestinal tract, rapidly distributes from the intravascular space to the peripheral tissues and organs, like the kidney, liver and lungs, proceeding biotransformation. Vets and pet owners have reported the effect of nitenpyram on flea-infested pets starting within 30 minutes after administering the neonicotinoid.[8]

Nitenpyram has been reported to metabolize into 6-chloronicotinic acid.[6]

Nitenpyram in mice metabolizes into nitenpyram-COOH, nitenpyram-deschloropyridine, desmethyl-nitenpyram, nitenpyram-CN, and nitenpyram-deschloropyridine derivatives.[7] The nitenpyram metabolites have not been through in-depth study. However, these metabolites can undergo oxidation reactions like the cyano group into a carboxylic group.[7] 6-chloronicotinic acid can make hydrogen bonds with the hydrogen atom of amino groups.

Cytochrome P450 enzymes in humans could generate some metabolites with greater toxicity than the parent compound, certified to cause tumors in combination with nitrates and induce genetic damage.[9] A precautionary approach to anything understudied would be advised, until the biotransformation is better and its effects are better studied and understood.

Synthesis

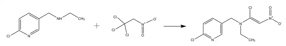
Nitenpyram is synthesized in a multistage reaction.[10] The precursor compound of this reaction is 2-chloro-5-chloromethylpyridine, which is also used in the preparation of other neonicotinoids such as imidacloprid. The reaction of this compound undergoes three reaction steps.

First step, 2-chloro-5-chloromethylpyridine reacts with ethylamine on its phase boundary acquiring the molecule N-ethyl-2-chloro-5-pyridylmethyl amine.

Synthesis can then proceed with a condensation reaction (step 2), adding the solvents dichloromethane and trichloronitromethane will yield the intermediate N-ethyl-2-chloro-5-pyridylmethyl amine with an additional nitroethylene group.

In the last step methylamine is added and reacts with the intermediate, replacing the pharmacophore chloride group, obtaining nitenpyram as the final end product.

Derivatives

Being a first generation neonicotinoid, nitenpyram has been subject to a variety of modifications to its original structure, to either increase the effectiveness or specificity of the compound. One such variation is on the configuration of the reactive group/pharmacophore, from cis (E) to trans (Z) configuration.[11] It has been shown that this type of modification can substantially increase the affinity of nitenpyram to bind to the insect nACh receptor, allowing for more directed and ecologically friendly pest control. Changes to these compounds could also help circumvent the growing resistance in nitenpyram.

Toxicology

Invertebrates

In a 2015 study, neonicotinoids toxicity was tested on the egg parasitoid trichogramma. Nitenpyram specifically was found to have the lowest toxicity, making it useful in IPM (integrated pest management) treatment.[2]

In 2015, researchers conducted a study on the toxicity of nitenpyram on the earthworm E.fetida. E.fetida is a common earthworm, which is partly responsible for the natural aeration of soil, including agricultural soil. In a 14-day exposure period, the Toxicity in LC50 of nitenpyram on e.fetida was found to be 4.34 mg/kg soil, showing an inhibition of cellulase activity and damage to the epidermal cells and gut cells. This, however, was significantly less toxic than similar insecticides such as imidacloprid, thiacloprid and clothianidin, making nitenpyram a viable substitute for many other neonicotinoids used.

Ecologic effects of nitenpyram on bee populations is under controversy, as contradicting studies show the presence of nitenpyram in honey bees and their honey, while others do not detect nitenpyram at all.[12][13] This, however, may be due to the decrease in usage of nitenpyram, as the global market share has been steadily decreasing.

Nitenpyram is also commonly used in the elimination of and protection from mosquitoes. Specifically, the toxicity of nitenpyram on Culex quinquefasciatus or the southern house mosquito was tested. The LC50 of the compound was found to be 0.493 ug/ml.

Vertebrates

Aquatic animals

In a study a 60-day chronic toxicity test was conducted on Chinese rare minnows (Gobiocypris rarus) as a general fish model.[14] Of the neonicotinoids tested (imidacloprid, nitenpyram, and dinotefuran), nitenpyram was shown to not have much genotoxic effects or adversely affect the immune system, either through short or chronic exposure in comparison to the other compounds.

In a similar study, nitenpyram was shown to have adverse effects on the DNA of Zebrafish.[15] Enzymes inhibiting the formation of reactive oxygen species (ROS) were severely affected, causing oxidative DNA damage increasing with chronic exposure.

Mammals

The Oxford University chemical safety data documents an LD50 toxicology test on rats, both male and female, where doses are recorded as 1680 mg and 1575 mg per kg body weight respectively.[3] As such, the overdose limits for humans and animals are quite high, reaching into grams, and the compound is seen as safe for daily use for animals. Human consumption is not recommended, though no side effects of indirect exposure (such as eating treated plants) are known to occur.

Degradation

In the hope to understand neonicotinoid degradation in various types of water, an interesting find was made.[16] In testing ground water, surface water and finished drinking water, researchers found degradation of nitenpyram was occurring primarily in the drinking water, which was attributed to hydrolysis of the compound. Some of these degradation products are thought to have toxic properties in non-target organisms, though the actual toxicities are not known. Nitenpyram is also degraded under the effect of UV light, suggesting that exposure to the sun will also degrade the compound into various degradation products.

Veterinary applications

Nitenpyram tablets, brand name Capstar,[17] are used to treat flea infestations in cats and dogs.[18] After oral administration of the tablet the drug is readily and quickly absorbed into the blood. If a flea bites the animal it will ingest with the blood the nitenpyram. The effect of nitenpyram can be observed half an hour after the administration. At this time a high concentration in the plasma can be detected and the first fleas dislodge from the pet host. A study showed that six hours after application the infestation of fleas on decreased by 96.7% for dogs and 95.2% for cats.[17][19] The adult fleas present on the hosts are severely interrupted, hence, egg production is reduced. Eggs are not directly affected by nitenpyram, only after they come out. Administering nitenpyram might have to be repeated or continued until the pest infestation has subsided. The half life of nitenpyram is around eight hours. Thus, 24 hours after treatment roughly 100% of the adult fleas were killed. Between 24 hours and 48 hours the efficacy is highly decreased and after 72 hours no effect could be shown anymore in studies.

Side effects

One observed side effect is itchiness, suspected to be from the fleas dislodging. In the five hours after the treatment it was observed that cats were grooming themselves more, i.e. scratching, biting, licking, and twitching. This will stop when the fleas have either flagged or have died.[17] Other reported side effects are hyperactivity, panting, lethargy, vomiting, fever, decreased appetite, nervousness, diarrhea, difficulty breathing, salivation, incoordination, seizures, pupil dilation, increased heart rate, trembling and nervousness.[20] In other studies no adverse effects were observed.[19]

Agricultural applications

Being one of the first generation neonicotinoids, nitenpyram has seen extensible commercial use since its introduction, including pest control in agriculture. While the development of newer generation nicotinoids has caused a decrease in its use, a Worldwide Integrated Assessment (WIA) report still judged it as an ecologically viable treatment in pest control projects such as Integrated Pest management (IPM). This is due to its lower toxicity and high uptake in plants in relation to soil as opposed to other commercially used neonicotinoids.[21]

Nitenpyram has been used on many commercial crops, such as cotton and corn,[21][22] and can be applicated in various ways. Commonly used techniques are dusting and seed treatment. Seed treatment allows for a long lasting immunity to insects damaging the crops. The use of nitenpyram has been shown to be highly effective in protecting crops, as it is generally less toxic for non-target organisms, while killing off crop-destroying insects. While usage is still common, unlike other neonicotinoids, the global market share for nitenpyram seems to decrease based on product sale data from 2003, 2005, 2007 and 2009.[22][5] The reason for this is not yet fully understood, as other first generation neonicotinoids do not seem to follow the same trend, and nitenpyram is known to be less toxic to non-target organisms as compared to the compounds of the same generation.

However, the decrease of use could possibly be explained through the formation of resistance in various insect species.[22][23] In a study conducted on nine commonly used nicotinoids, nitenpyram was found to have the greatest increase in resistance of the group within brown planthoppers, a common agricultural pest, between 2011 and 2012. A substantial increase of resistance was also found in Aphis gossypii or the cotton aphid, as compared to other compounds such as imidacloprid.

Side effects

Due to its use on pollen carrying plants, nitenpyram has been linked to a decrease in population of pollinators such as honey bees, wild bees and butterflies.[5] Other non-target organisms, such as earthworms, are also reported to be negatively affected by nitenpyram. Plants themselves do not seem to have a negative response, as they do not possess nicotine nACh receptors.

References

  1. ^ a b c Yamamoto, I.; Casida, J.E (1999). Yamamoto, Izuru; Casida, John E. (eds.). Nicotinoid Insecticides and the Nicotinic Acetylcholine Receptor | SpringerLink. doi:10.1007/978-4-431-67933-2. ISBN 978-4-431-68011-6. S2CID 34374399.
  2. ^ a b Pisa, Lennard; Goulson, Dave; Yang, En-Cheng; Gibbons, David; Sánchez-Bayo, Francisco; Mitchell, Edward; Aebi, Alexandre; Sluijs, Jeroen van der; MacQuarrie, Chris J. K. (2017). "An update of the Worldwide Integrated Assessment (WIA) on systemic insecticides. Part 2: impacts on organisms and ecosystems". Environmental Science and Pollution Research. 28 (10): 11749–11797. doi:10.1007/s11356-017-0341-3. PMC 7921077. PMID 29124633.
  3. ^ a b "ChemSpider | Data Source Details | Oxford University Chemical Safety Data (No longer updated)". www.chemspider.com. Retrieved 2018-03-21.
  4. ^ Pubchem. "Nitenpyram". pubchem.ncbi.nlm.nih.gov. Retrieved 2018-03-21.
  5. ^ a b c d Simon-Delso, N.; Amaral-Rogers, V.; Belzunces, L. P.; Bonmatin, J. M.; Chagnon, M.; Downs, C.; Furlan, L.; Gibbons, D. W.; Giorio, C. (2015-01-01). "Systemic insecticides (neonicotinoids and fipronil): trends, uses, mode of action and metabolites". Environmental Science and Pollution Research. 22 (1): 5–34. Bibcode:2015ESPR...22....5S. doi:10.1007/s11356-014-3470-y. ISSN 0944-1344. PMC 4284386. PMID 25233913.
  6. ^ a b c d e Ding, Fei; Peng, Wei (2015). "Biological assessment of neonicotinoids imidacloprid and its major metabolites for potentially human health using globular proteins as a model". Journal of Photochemistry and Photobiology B: Biology. 147: 24–36. Bibcode:2015JPPB..147...24D. doi:10.1016/j.jphotobiol.2015.03.010. PMID 25837412.
  7. ^ a b c d Casida, John E. (2018-01-07). "Neonicotinoids and Other Insect Nicotinic Receptor Competitive Modulators: Progress and Prospects". Annual Review of Entomology. 63 (1): 125–144. doi:10.1146/annurev-ento-020117-043042. ISSN 0066-4170. PMID 29324040.
  8. ^ "Rx_Info_Sheets/rx_nitenpyram" (PDF). Archived from the original (PDF) on 2015-02-26. Retrieved 2018-03-21.
  9. ^ Schulz-Jander, Daniel A; Casida, John E (2002). "Imidacloprid insecticide metabolism: human cytochrome P450 isozymes differ in selectivity for imidazolidine oxidation versus nitroimine reduction". Toxicology Letters. 132 (1): 65–70. doi:10.1016/s0378-4274(02)00068-1. PMID 12084621.
  10. ^ [1] CN patent 102816112], 曾挺, 陈华, 陈共华, 潘光飞, 浙江禾本科技有限公司, "Method for preparing pesticide nitenpyram", published 2012-09-13 
  11. ^ Shao, Xusheng; Lu, Haiyan; Bao, Haibo; Xu, Xiaoyong; Liu, Zewen; Li, Zhong (July 2011). "The mode of action of a nitroconjugated neonicotinoid and the effects of target site mutation Y151S on its potency". Insect Biochemistry and Molecular Biology. 41 (7): 440–445. Bibcode:2011IBMB...41..440S. doi:10.1016/j.ibmb.2011.04.005. ISSN 1879-0240. PMID 21549193.
  12. ^ Codling, Garry; Naggar, Yahya Al; Giesy, John P.; Robertson, Albert J. (2018-03-01). "Neonicotinoid insecticides in pollen, honey and adult bees in colonies of the European honey bee (Apis mellifera L.) in Egypt". Ecotoxicology. 27 (2): 122–131. Bibcode:2018Ecotx..27..122C. doi:10.1007/s10646-017-1876-2. ISSN 0963-9292. PMID 29143171. S2CID 3917697.
  13. ^ Iwasa, Takao; Motoyama, Naoki; Ambrose, John T.; Roe, R.Michael (2004). "Mechanism for the differential toxicity of neonicotinoid insecticides in the honey bee, Apis mellifera". Crop Protection. 23 (5): 371–378. Bibcode:2004CrPro..23..371I. doi:10.1016/j.cropro.2003.08.018.
  14. ^ Hong, Xiangsheng; Zhao, Xu; Tian, Xue; Li, Jiasu; Zha, Jinmiao (2018). "Changes of hematological and biochemical parameters revealed genotoxicity and immunotoxicity of neonicotinoids on Chinese rare minnows ( Gobiocypris rarus )". Environmental Pollution. 233: 862–871. Bibcode:2018EPoll.233..862H. doi:10.1016/j.envpol.2017.12.036. PMID 29253827.
  15. ^ Yan, Saihong; Wang, Jinhua; Zhu, Lusheng; Chen, Aimei; Wang, Jun (2015). "Toxic effects of nitenpyram on antioxidant enzyme system and DNA in zebrafish (Danio rerio) livers". Ecotoxicology and Environmental Safety. 122: 54–60. Bibcode:2015EcoES.122...54Y. doi:10.1016/j.ecoenv.2015.06.030. PMID 26202306.
  16. ^ Noestheden, Matthew; Roberts, Simon; Hao, Chunyan (2016-07-15). "Nitenpyram degradation in finished drinking water". Rapid Communications in Mass Spectrometry. 30 (13): 1653–1661. Bibcode:2016RCMS...30.1653N. doi:10.1002/rcm.7581. ISSN 1097-0231. PMID 27321854.
  17. ^ a b c Rust, MK; Waggoner, MM; Hinkle, NC; Stansfield, D; Barnett, S (September 2003). "Efficacy and longevity of nitenpyram against adult cat fleas (Siphonaptera: Pulicidae)". Journal of Medical Entomology. 40 (5): 678–81. doi:10.1603/0022-2585-40.5.678. PMID 14596282.
  18. ^ Wismer, Tina; Means, Charlotte (March 2012). "Toxicology of newer insecticides in small animals". Veterinary Clinics of North America: Small Animal Practice. 42 (2): 335–347. doi:10.1016/j.cvsm.2011.12.004. PMID 22381183.
  19. ^ a b Dobson, P.; Tinembart, O.; Fisch, R. D.; Junquera, P. (2000-12-16). "Efficacy of nitenpyram as a systemic flea adulticide in dogs and cats". The Veterinary Record. 147 (25): 709–713. ISSN 0042-4900. PMID 11140929.
  20. ^ "CAPSTAR Novartis (nitenpyram)" (PDF). datasheets.scbt.com. 2 April 2014. Retrieved 12 June 2019.
  21. ^ a b Furlan, Lorenzo; Pozzebon, Alberto; Duso, Carlo; Simon-Delso, Noa; Sánchez-Bayo, Francisco; Marchand, Patrice A.; Codato, Filippo; Bijleveld van Lexmond, Maarten; Bonmatin, Jean-Marc (2018-02-25). "An update of the Worldwide Integrated Assessment (WIA) on systemic insecticides. Part 3: alternatives to systemic insecticides". Environmental Science and Pollution Research International. 28 (10): 11798–11820. doi:10.1007/s11356-017-1052-5. ISSN 1614-7499. PMC 7921064. PMID 29478160.
  22. ^ a b c Pisa, Lennard; Goulson, Dave; Yang, En-Cheng; Gibbons, David; Sánchez-Bayo, Francisco; Mitchell, Edward; Aebi, Alexandre; van der Sluijs, Jeroen; MacQuarrie, Chris J. K. (2017-11-09). "An update of the Worldwide Integrated Assessment (WIA) on systemic insecticides. Part 2: impacts on organisms and ecosystems". Environmental Science and Pollution Research International. 28 (10): 11749–11797. doi:10.1007/s11356-017-0341-3. ISSN 1614-7499. PMC 7921077. PMID 29124633.
  23. ^ Sabatino, Leonardo; Scordino, Monica; Pantò, Valentina; Chiappara, Elena; Traulo, Pasqualino; Gagliano, Giacomo (2013). "Survey of neonicotinoids and fipronil in corn seeds for agriculture". Food Additives & Contaminants. Part B, Surveillance. 6 (1): 11–16. doi:10.1080/19393210.2012.717969. ISSN 1939-3229. PMID 24786619. S2CID 6769499.
  • Nitenpyram in the Pesticide Properties DataBase (PPDB)