Pramipexole
![]() | |
![]() | |
| Clinical data | |
|---|---|
| Pronunciation | /ˌpræmɪˈpɛksoʊl/ |
| Trade names | Mirapex, Mirapexin, Sifrol, others |
| AHFS/Drugs.com | Monograph |
| MedlinePlus | a697029 |
| License data |
|
| Pregnancy category |
|
| Routes of administration | By mouth |
| ATC code | |
| Legal status | |
| Legal status | |
| Pharmacokinetic data | |
| Bioavailability | >90% |
| Protein binding | 15% |
| Elimination half-life | 8–12 hours |
| Excretion | Urine (90%), feces (2%) |
| Identifiers | |
| |
| CAS Number | |
| PubChem CID | |
| IUPHAR/BPS | |
| DrugBank | |
| ChemSpider | |
| UNII | |
| KEGG | |
| ChEBI | |
| ChEMBL | |
| CompTox Dashboard (EPA) | |
| ECHA InfoCard | 100.124.761 |
| Chemical and physical data | |
| Formula | C10H17N3S |
| Molar mass | 211.33 g·mol−1 |
| 3D model (JSmol) | |
| |
| |
| (verify) | |
Pramipexole, sold under the brand Mirapex among others, is a medication used to treat Parkinson's disease and restless legs syndrome.[8] In Parkinson's disease it may be used alone or together with levodopa.[8] It is taken by mouth.[8] Pramipexole is a dopamine agonist of the non-ergoline class.[8]
Pramipexole was approved for medical use in the United States in 1997[8] and was first manufactured by Pharmacia and Upjohn.[9] It is available as a generic medication.[10] In 2022, it was the 193rd most commonly prescribed medication in the United States, with more than 2 million prescriptions.[11][12]

Medical uses
Pramipexole is used in the treatment of Parkinson's disease and restless legs syndrome.[8] Safety in pregnancy and breastfeeding is unknown.[1]
A 2008 meta-analysis found that pramipexole was more effective than ropinirole in the treatment of restless legs syndrome.[13]
It is occasionally prescribed off-label for depression. Its effectiveness as an antidepressant may be a product of its strong partial agonistic activity on and preferential occupation of dopamine D3 receptors at low doses (see table below); as well, the drug has been shown to desensitize the inhibitory D2 autoreceptors but not the postsynaptic D2 receptors, leading to an increase in dopamine and serotonin levels in the prefrontal cortex.[14] Chronic administration of pramipexole may also result in desensitization of D3 autoreceptors, leading to reduced dopamine transporter function.[15] Trials have shown mixed results for depression.[16]
Pramipexole has also been used as a treatment for REM sleep behaviour disorder, but it is not licensed for use in this disorder. Observational studies suggest it may reduce the frequency and intensity of REM sleep behavior disorder symptoms, but randomized controlled trials have not been performed, so the evidence for its role in this disorder is weak.[17]
Side effects
Common side effects of pramipexole include:[18][4][5]
- Headache
- Peripheral edema[19]
- Hyperalgesia (body aches and pains)
- Nausea and vomiting
- Sedation and somnolence
- Decreased appetite and subsequent weight loss
- Orthostatic hypotension (resulting in dizziness, lightheadedness, and possibly fainting, especially when standing up)
- Insomnia
- Hallucinations (seeing, hearing, smelling, tasting or feeling things that are not there), amnesia and confusion
- Twitching, twisting, or other unusual body movements
- Unusual tiredness or weakness
- Pramipexole (and related D3-preferring dopamine agonist medications such as ropinirole) can induce "impulsive-compulsive spectrum disorders"[20] such as compulsive gambling, punding, hypersexuality, and overeating, even in people without any prior history of these behaviors.[21][22][23] There have also been reported detrimental side effects related to impulse-control disorders resulting from off-label use of Pramipexole or other dopamine agonists in treating clinical depression.[24] The incidence and severity of impulse-control disorders for those taking the drug for depression are not fully understood because the drug has not been approved for the treatment of depression and the first major studies of its efficacy in treating anhedonic depression were conducted in 2022. There have been anecdotal reports of abrupt and severe personality changes related to impulsivity and loss of self-control in a minority of patients regardless of the condition being treated, although the incidence of these side effects is not yet fully known.[24]
- Augmentation:[a] Especially when used to treat restless legs syndrome, long-term pramipexole treatment may exhibit drug augmentation, which is "an iatrogenic worsening of [restless legs syndrome] symptoms following treatment with dopaminergic agents"[25] and may include an earlier onset of symptoms during the day or a generalized increase in symptoms.[26][27][28]
Pharmacology
The activity profile of Pramipexole at various sites has been characterized as follows:
| Site | Affinity (Ki, nM) | Efficacy (Emax, %) | Action |
|---|---|---|---|
| D2S | 3.3 | 99 (130% Beta-Arrestin) | Superagonist |
| D2L | 3.9 | 99 (70% Beta-Arrestin) | Full agonist |
| D3 | 0.5 | 98 (70% Beta-Arrestin) | Full agonist |
| D4 | 3.9 | 91 (42% Beta-Arrestin) | Full agonist |
| Notes: Pramipexole also possesses lower affinity (500–10,000 nM) for the 5-HT1A, 5-HT1B, 5-HT1D, and α2-adrenergic receptors.[29][35] It has negligible affinity (>10,000 nM) for the D1, D5, 5-HT2, α1-adrenergic, β-adrenergic, H1, and mACh receptors.[29][35] All sites were assayed using human materials.[29][30] Pramipexole is a superagonist at the presynaptic D2S receptor, S referring to a shorter amino acid sequence which desensitize over time unlike postsynaptic D2L receptors. | |||

While Pramipexole is used clinically (see below), its D3-preferring receptor binding profile has made it a popular tool compound for preclinical research. For example, pramipexole has been used (in combination with D2- and or D3-preferring antagonists) to discover the role of D3 receptor function in rodent models and tasks for neuropsychiatric disorders.[36] Of note, it appears that pramipexole, in addition to having effects on dopamine D3 receptors, may also affect mitochondrial function via a mechanism that remains less understood. A pharmacological approach to separate dopaminergic from non-dopaminergic (e.g. mitochondrial) effects of pramipexole has been to study the effects of the R-stereoisomer of pramipexole (which has much lower affinity to the dopamine receptors when compared to the S-isomer) side by side with the effects of the S-isomer.[37] This property can be characterised using dopaminergic activity equivalent (a relative measure comparing doses of different doses of stereoisomers in mg).[38]

Parkinson's disease is a neurodegenerative disease affecting the substantia nigra, a component of the basal ganglia. The substantia nigra has a high quantity of dopaminergic neurons, which are nerve cells that release the neurotransmitter known as dopamine. When dopamine is released, it may activate dopamine receptors in the striatum, which is another component of the basal ganglia. When neurons of the substantia nigra deteriorate in Parkinson's disease, the striatum no longer properly receives dopamine signals. As a result, the basal ganglia can no longer regulate body movement effectively and motor function becomes impaired. By acting as an agonist for the D2, D3, and D4 dopamine receptors, pramipexole may directly stimulate the underfunctioning dopamine receptors in the striatum, thereby restoring the dopamine signals needed for proper functioning of the basal ganglia.
Pramipexole can increase growth hormone indirectly through its inhibition of somatostatin.[39] Pramipexole has also been shown to be protective against dopaminergic-related methamphetamine neurotoxicity.[40][41]

Immediate-release pramipexole displays a Tmax of approximately 2 hours and 3 hours if taken with a high-fat meal. Extended-release pramipexole displays a Tmax of ~6 hours and ~8 hours if taken with food. The AUC of Pramipexole remains unaltered regardless of food presence. Steady-state is achieved within 3 days and 5 days for the IR and ER formulation respectively. Pramipexole is eliminated via the renal organic cation transporter as an unchanged drug showing no signs of any metabolism. Pramipexole has been shown to inhibit CYP2D6 with a Ki of 30μM which is significantly higher than the maximum approved dosage of 4.5mg/day thus any enzyme-mediated drug interactions are not clinically relevant. It comes in strengths of 0.125mg, 0.25mg, 0.5mg, 1mg, and 1.5mg instant release; the extended-release comes in 0.375mg, 0.75mg, 1.5mg, 2.25mg, 3mg, 3.75mg, and 4.5mg. The instant release is meant to be dosed three times daily for Parkinson's and once two hours before bedtime for restless leg syndrome. The extended-release is not approved for restless leg syndrome. It is not metabolized, with >90% of the dose excreted unchanged via SCL22A2/OCT2. Therefore, inhibitors of the renal organic cation transporter system (e.g., cimetidine ) will increase the area under the curve by 50% and increase the t1/2 by 40%.[42][43]
Synthesis
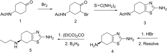
4-Acetamidocyclohexanone (1) is reacted with bromine, yielding 2-bromo-4-acetamidocyclohexanone (2). Then, 2 reacts with thiourea, giving compound 3. Through reaction with HBr, amide is converted into a primary amine (compound 4), which then reacts with diethyl mesoxalate and tetrahydroborane, yielding pramipexole (5).

Society and culture
Brand names
Brand names include Mirapex, Mirapex ER, Mirapexin, Sifrol, Pexola,[45] Pipexus,[46] Glepark,[47] Oprymea,[48] Astepen, Calmolan, Erimexol, Ezaprev, Frodix, Galipeks, Labrixile, Mariprax, Medopexol, Mepimer, Minergi, Miparkan, Miraper, Miviren, Nulipar, Pacto, Panarak, Parim, Parixol, Parkipex, Parkyn, Parmital, Parpex, Pexa XR, Peximyr, Pexopar, Pisa, Portiv, Pradose, Pramigen, Pramipexin, Pramirol, Pramithon, Pranow, Prapex, Quera LP, Rampiex, Ramixole, Rapexole, Ritmorest, Axalanz, Biopsol, Derinik, Elderpat, Intaxel, Mirapapkin, Mirapezol, Movial, Muvend, Nervius, Neurosomat, Newmirex, Noxopran, Nulipar, Oxpola, Parmital, Periamid, Pralexan, Pramexol, Pramifer, Pramiola, Pramip, Pramitrem, Primizol, Ramipex, Rapexole, Simipex, Simpral, Stabil, Treminel, Trimexol, X-Tremble.[49]
Research
Further Parkinson's disease symptoms treatment
Parkinson's disease, apart from motor symptoms, is associated with chronic pain,[50] which is mediated through three different mechanisms: nociception, neuropathy and nociplasty.[51] In animal models, it was shown that pramipexole alleviates allodynia and hyperalgesia[52] caused by excessive glial cell (astrocytes, microglia) activation in the spinal cord, which is the causative effect of Parkinson's disease-relatet nociceptive pain.[53] Pramipexole appears to exert this effect through its anti-inflammatory effect by inhibiting the release of several pro-inflammatory cytokines (TNF-α, IL-1β, IL-6, IL-8, IL-12 and IL-18).[54][55][56] and NF-κB.[52][57]
Cerebral ischemia and reperfusion injury
Pramipexole in combination with levodopa was shown to alleviate neurological repercussions, improve neuron morphology and their survival after cerebral ischemia-related reperfusion injury through ferroptosis inhibition (via Nrf2/GPX4/SLC7A11 pathway)[58] or by mitochondrial membrane potential stabilization.[59]
Traumatic brain injury
After traumatic brain injury, neurons can undergo necroptosis via necrosome formation and RIPK1 pathway.[60][61][62] Pramipexole was shown to act as a neuroprotective agent by inducing hypothermia.[63]
Psychiatry
Pramipexole has been evaluated for the treatment of sexual dysfunction experienced by some users of selective serotonin reuptake inhibitor antidepressants.[64] It has shown effects on pilot studies in a placebo-controlled proof of concept study in bipolar disorder.[65][66][67][68] It is also being investigated for the treatment of clinical depression,[69][70] including neuroinflammatory subtypes via NLRP3 inflammasome pathway.[71]
Other indications
Pramipexole is under clinical trials for the treatment of fibromyalgia,[72] essential tremor,[73][74] primary orthostatic tremor ('shaky leg syndrome'),[75] persistent genital arousal disorder.[76]
Derivatives
Derivatives of Pramipexole include CJ-998, CJ-1037, CJ-1638, CJ-1639,[77] D-264, D-440,[78] and D-512.[78]
Explanatory notes
- ^ The term "augmentation" has different meanings depending on the context. In the context of the pharmacological management of psychiatric disorders, for example, it means enhancing treatment effects by adding a second drug (or other treatment intervention). In the present context, augmentation has the meaning given above (in the body of the article).
References
- ^ a b "Pramipexole Pregnancy and Breastfeeding Warnings". Drugs.com. Archived from the original on 22 March 2019. Retrieved 3 March 2019.
- ^ Anvisa (31 March 2023). "RDC Nº 784 - Listas de Substâncias Entorpecentes, Psicotrópicas, Precursoras e Outras sob Controle Especial" [Collegiate Board Resolution No. 784 - Lists of Narcotic, Psychotropic, Precursor, and Other Substances under Special Control] (in Brazilian Portuguese). Diário Oficial da União (published 4 April 2023). Archived from the original on 3 August 2023. Retrieved 16 August 2023.
- ^ "Product monograph brand safety updates". Health Canada. February 2024. Retrieved 24 March 2024.
- ^ a b c "Mirapex- pramipexole dihydrochloride tablet". DailyMed. 1 March 2020. Archived from the original on 18 October 2020. Retrieved 17 October 2020.
- ^ a b c "Mirapex ER- pramipexole dihydrochloride tablet, extended release". DailyMed. 5 February 2020. Archived from the original on 21 October 2020. Retrieved 17 October 2020.
- ^ "Sifrol EPAR". European Medicines Agency. 17 November 2009. Archived from the original on 18 October 2020. Retrieved 17 October 2020.
- ^ "Mirapexin EPAR". European Medicines Agency. 17 November 2009. Archived from the original on 18 October 2020. Retrieved 17 October 2020.
- ^ a b c d e f "Pramipexole Dihydrochloride Monograph for Professionals". Drugs.com. American Society of Health-System Pharmacists. Archived from the original on 3 April 2019. Retrieved 22 March 2019.
- ^ Wilson SM, Wurst MG, Whatley MF, Daniels RN (2 September 2020). "Classics in Chemical Neuroscience: Pramipexole". ACS Chemical Neuroscience. 11 (17): 2506–2512. doi:10.1021/acschemneuro.0c00332. PMID 32786316.
- ^ British national formulary: BNF 76 (76 ed.). Pharmaceutical Press. 2018. pp. 417–418. ISBN 978-0-85711-338-2.
- ^ "The Top 300 of 2022". ClinCalc. Archived from the original on 30 August 2024. Retrieved 30 August 2024.
- ^ "Pramipexole Drug Usage Statistics, United States, 2013 - 2022". ClinCalc. Retrieved 30 August 2024.
- ^ Quilici S, Abrams KR, Nicolas A, Martin M, Petit C, Lleu PL, et al. (October 2008). "Meta-analysis of the efficacy and tolerability of pramipexole versus ropinirole in the treatment of restless legs syndrome". Sleep Med. 9 (7): 715–26. doi:10.1016/j.sleep.2007.11.020. PMID 18226947.
- ^ Chernoloz O, El Mansari M, Blier P (February 2012). "Long-term administration of the dopamine D3/2 receptor agonist pramipexole increases dopamine and serotonin neurotransmission in the male rat forebrain". Journal of Psychiatry & Neuroscience. 37 (2): 113–121. doi:10.1503/jpn.110038. PMC 3297071. PMID 22023785.
- ^ Castro-Hernández J, Afonso-Oramas D, Cruz-Muros I, Salas-Hernández J, Barroso-Chinea P, Moratalla R, et al. (February 2015). "Prolonged treatment with pramipexole promotes physical interaction of striatal dopamine D3 autoreceptors with dopamine transporters to reduce dopamine uptake". Neurobiology of Disease. 74: 325–335. doi:10.1016/j.nbd.2014.12.007. PMID 25511804.
- ^ Fawcett J, Rush AJ, Vukelich J, Diaz SH, Dunklee L, Romo P, et al. (February 2016). "Clinical Experience With High-Dosage Pramipexole in Patients With Treatment-Resistant Depressive Episodes in Unipolar and Bipolar Depression". The American Journal of Psychiatry. 173 (2): 107–111. doi:10.1176/appi.ajp.2015.15060788. PMID 26844792.
- ^ Tan SM, Wan YM (30 September 2016). "Pramipexole in the treatment of REM sleep behaviour disorder: A critical review". Psychiatry Res. 243: 365–372. doi:10.1016/j.psychres.2016.06.055. PMID 27449005.
- ^ "MedlinePlus Drug Information: Pramipexole (Systemic)". United States National Library of Medicine. Archived from the original on 26 September 2006. Retrieved 27 September 2006.
- ^ Tan EK, Ondo W (May 2000). "Clinical characteristics of pramipexole-induced peripheral edema". Archives of Neurology. 57 (5): 729–732. doi:10.1001/archneur.57.5.729. PMID 10815140.
- ^ Napier TC, Kirby A, Persons AL (August 2020). "The role of dopamine pharmacotherapy and addiction-like behaviors in Parkinson's disease". Progress in Neuro-Psychopharmacology & Biological Psychiatry. 102: 109942. doi:10.1016/j.pnpbp.2020.109942. PMID 32272129.
... features of ICSDs [impulsive-compulsive spectrum disorders] during D2/D3R treatment are consistent with the pharmacological profile of the drugs, the known role of D2/D3R in these behaviors, and the neuroanatomical substrates of D2/D3R-expressing brain systems of ICSDs as shown by modern human imaging studies. While we pose that D2/D3R agonist treatment is sufficient to mediate ICSDs, there likely are many factors that overlay this profile, e.g., genetic vulnerabilities, brain disease state, and maladaptations to the chronic therapy.
- ^ Bostwick JM, Hecksel KA, Stevens SR, Bower JH, Ahlskog JE (April 2009). "Frequency of new-onset pathologic compulsive gambling or hypersexuality after drug treatment of idiopathic Parkinson disease". Mayo Clinic Proceedings. 84 (4): 310–316. doi:10.4065/84.4.310. PMC 2665974. PMID 19339647.
- ^ Moore TJ, Glenmullen J, Mattison DR (December 2014). "Reports of pathological gambling, hypersexuality, and compulsive shopping associated with dopamine receptor agonist drugs". JAMA Internal Medicine. 174 (12): 1930–1933. doi:10.1001/jamainternmed.2014.5262. PMID 25329919.
- ^ Wolters EC, van der Werf YD, van den Heuvel OA (September 2008). "Parkinson's disease-related disorders in the impulsive-compulsive spectrum". Journal of Neurology. 255 (Suppl 5): 48–56. doi:10.1007/s00415-008-5010-5. PMID 18787882.
- ^ a b Elliott C. "The Degradation Drug". The American Scholar. Archived from the original on 15 September 2022. Retrieved 15 September 2022.
- ^ Winkelmann J, Allen RP, Högl B, Inoue Y, Oertel W, Salminen AV, et al. (July 2018). "Treatment of restless legs syndrome: Evidence-based review and implications for clinical practice (Revised 2017)§". Movement Disorders. 33 (7): 1077–1091. doi:10.1002/mds.27260. PMID 29756335.
... the specific goals of the current review were to … separately identify the [restless legs syndrome]-specific side effect, which is augmentation.
- ^ "Pramipexole Monograph for Professionals". Drugs.com. Archived from the original on 25 November 2021. Retrieved 11 December 2020.
Augmentation of symptoms of restless legs syndrome (e.g., earlier onset of symptoms in the evening or afternoon, increase in symptoms, spread of symptoms to involve other extremities) reported; incidence increased with increasing duration of pramipexole treatment.
- ^ Winkelman JW, Armstrong MJ, Allen RP, Chaudhuri KR, Ondo W, Trenkwalder C, et al. (December 2016). "Practice guideline summary: Treatment of restless legs syndrome in adults: Report of the Guideline Development, Dissemination, and Implementation Subcommittee of the American Academy of Neurology". Neurology. 87 (24): 2585–2593. doi:10.1212/WNL.0000000000003388. PMC 5206998. PMID 27856776.
- ^ Salminen AV, Winkelmann J (November 2018). "Restless Legs Syndrome and Other Movement Disorders of Sleep-Treatment Update". Current Treatment Options in Neurology. 20 (12): 55. doi:10.1007/s11940-018-0540-3. PMID 30411165.
… augmentation of the [restless legs syndrome] symptoms is a major limitation of oral dopaminergic therapy.
- ^ a b c d Kvernmo T, Härtter S, Burger E (August 2006). "A review of the receptor-binding and pharmacokinetic properties of dopamine agonists". Clinical Therapeutics. 28 (8): 1065–1078. doi:10.1016/j.clinthera.2006.08.004. PMID 16982285.
- ^ a b Newman-Tancredi A, Cussac D, Audinot V, Nicolas JP, De Ceuninck F, Boutin JA, et al. (November 2002). "Differential actions of antiparkinson agents at multiple classes of monoaminergic receptor. II. Agonist and antagonist properties at subtypes of dopamine D(2)-like receptor and alpha(1)/alpha(2)-adrenoceptor". The Journal of Pharmacology and Experimental Therapeutics. 303 (2): 805–814. doi:10.1124/jpet.102.039875. PMID 12388667.
- ^ Mierau J, Schneider FJ, Ensinger HA, Chio CL, Lajiness ME, Huff RM (June 1995). "Pramipexole binding and activation of cloned and expressed dopamine D2, D3 and D4 receptors". European Journal of Pharmacology. 290 (1): 29–36. doi:10.1016/0922-4106(95)90013-6. PMID 7664822.
- ^ "PDSP Ki Database Pramipexole Query". PDSP Ki Database. UNC. Archived from the original on 11 October 2023. Retrieved 11 July 2022.
- ^ "Pramipexole dihydrochloride characteristics". Bio-techne. Archived from the original on 12 July 2022. Retrieved 11 July 2022.
- ^ Coldwell MC, Boyfield I, Brown T, Hagan JJ, Middlemiss DN (August 1999). "Comparison of the functional potencies of ropinirole and other dopamine receptor agonists at human D2(long), D3 and D4.4 receptors expressed in Chinese hamster ovary cells". British Journal of Pharmacology. 127 (7): 1696–1702. doi:10.1038/sj.bjp.0702673. PMC 1566138. PMID 10455328.
- ^ a b Millan MJ, Maiofiss L, Cussac D, Audinot V, Boutin JA, Newman-Tancredi A (November 2002). "Differential actions of antiparkinson agents at multiple classes of monoaminergic receptor. I. A multivariate analysis of the binding profiles of 14 drugs at 21 native and cloned human receptor subtypes". The Journal of Pharmacology and Experimental Therapeutics. 303 (2): 791–804. doi:10.1124/jpet.102.039867. PMID 12388666.
- ^ Weber M, Chang WL, Breier M, Ko D, Swerdlow NR (December 2008). "Heritable strain differences in sensitivity to the startle gating-disruptive effects of D2 but not D3 receptor stimulation". Behavioural Pharmacology. 19 (8): 786–795. doi:10.1097/FBP.0b013e32831c3b2b. PMC 3255557. PMID 19020413.
- ^ Chang WL, Weber M, Breier MR, Saint Marie RL, Hines SR, Swerdlow NR (February 2012). "Stereochemical and neuroanatomical selectivity of pramipexole effects on sensorimotor gating in rats". Brain Research. 1437: 69–76. doi:10.1016/j.brainres.2011.12.007. PMC 3268831. PMID 22227455.
- ^ EP2508181A1, Bozik, Michael E.; Jr, Thomas Petzinger & Gribkoff, Valentin, "Compositions and Methods Of Using (R)-Pramipexole", issued 10 October 2012
- ^ Samuels ER, Hou RH, Langley RW, Szabadi E, Bradshaw CM (November 2007). "Comparison of pramipexole with and without domperidone co-administration on alertness, autonomic, and endocrine functions in healthy volunteers". British Journal of Clinical Pharmacology. 64 (5): 591–602. doi:10.1111/j.1365-2125.2007.02938.x. PMC 2203276. PMID 17578485.
- ^ Hall ED, Andrus PK, Oostveen JA, Althaus JS, VonVoigtlander PF (December 1996). "Neuroprotective effects of the dopamine D2/D3 agonist pramipexole against postischemic or methamphetamine-induced degeneration of nigrostriatal neurons". Brain Research. 742 (1–2): 80–88. doi:10.1016/S0006-8993(96)00968-7. PMID 9117424.
- ^ "Pramipexole". Drug Bank.
- ^ "Mirapex (pramipexole dihydrochloride)" (PDF). Archived from the original (PDF) on 27 February 2017.
- ^ "Highlights of prescribing information" (PDF). Archived from the original (PDF) on 28 September 2024.
- ^ Schneider CS, Mierau J (March 1987). "Dopamine autoreceptor agonists: resolution and pharmacological activity of 2,6-diaminotetrahydrobenzothiazole and an aminothiazole analogue of apomorphine". Journal of Medicinal Chemistry. 30 (3): 494–498. doi:10.1021/jm00386a009. PMID 3820220.
- ^ "Sifrol". www.boehringer-ingelheim.com. Retrieved 27 February 2025.
- ^ "Pipexus 0.52 mg Prolonged-release Tablets - Summary of Product Characteristics (SmPC) - (emc)". www.medicines.org.uk. Retrieved 27 February 2025.
- ^ "Glepark Tabletten". www.glenmark.de. Retrieved 27 February 2025.
- ^ "Oprymea - 1,05 mg, tabletki o przedłużonym uwalnianiu". Krka (in Polish). Retrieved 27 February 2025.
- ^ "Pramipexole (International database)". Drugs.com. Retrieved 27 February 2025.
- ^ Mylius V, Ciampi de Andrade D, Cury RG, Teepker M, Ehrt U, Eggert KM, et al. (December 2015). "Pain in Parkinson's Disease: Current Concepts and a New Diagnostic Algorithm". Movement Disorders Clinical Practice. 2 (4): 357–364. doi:10.1002/mdc3.12217. PMC 6178768. PMID 30363602.
- ^ Mylius V, Perez Lloret S, Cury RG, Teixeira MJ, Barbosa VR, Barbosa ER, et al. (April 2021). "The Parkinson disease pain classification system: results from an international mechanism-based classification approach". Pain. 162 (4): 1201–1210. doi:10.1097/j.pain.0000000000002107. PMC 7977616. PMID 33044395.
- ^ a b Godínez-Chaparro B, Rodríguez-Ramos MC, Martínez-Lorenzana MG, González-Morales E, Pérez-Ruíz KP, Espinosa de Los Monteros-Zuñiga A, et al. (February 2025). "Pramipexole decreases allodynia and hyperalgesia via NF-κB in astrocytes in rats with Parkinson's disease". Pharmacology, Biochemistry, and Behavior. 247: 173945. doi:10.1016/j.pbb.2024.173945. PMID 39675389.
- ^ Chen Y, Li Y, Li C, Zhu D, Cheng O, Cui J (November 2022). "Dexmedetomidine alleviates pain in MPTP-treated mice by activating the AMPK/mTOR/NF-κB pathways in astrocytes". Neuroscience Letters. 791: 136933. doi:10.1016/j.neulet.2022.136933. PMID 36283628.
- ^ Rocha NP, Assis F, Scalzo PL, Vieira ÉL, Barbosa IG, de Souza MS, et al. (February 2018). "Reduced Activated T Lymphocytes (CD4+CD25+) and Plasma Levels of Cytokines in Parkinson's Disease". Molecular Neurobiology. 55 (2): 1488–1497. doi:10.1007/s12035-017-0404-y. PMID 28176275.
- ^ Lieberknecht V, Junqueira SC, Cunha MP, Barbosa TA, de Souza LF, Coelho IS, et al. (March 2017). "Pramipexole, a Dopamine D2/D3 Receptor-Preferring Agonist, Prevents Experimental Autoimmune Encephalomyelitis Development in Mice". Molecular Neurobiology. 54 (2): 1033–1045. doi:10.1007/s12035-016-9717-5. PMID 26801190.
- ^ Sanchez JE, Noor S, Sun MS, Zimmerly J, Pasmay A, Sanchez JJ, et al. (September 2023). "The FDA-approved compound, pramipexole and the clinical-stage investigational drug, dexpramipexole, reverse chronic allodynia from sciatic nerve damage in mice, and alter IL-1β and IL-10 expression from immune cell culture". Neuroscience Letters. 814: 137419. doi:10.1016/j.neulet.2023.137419. PMC 10552878. PMID 37558176.
- ^ Santamaria-Anzures J, Pérez-Ramos J, Mendoza-Pérez F, Godínez-Chaparro B (April 2023). "Pramipexole inhibits formalin-induce acute and long-lasting mechanical hypersensitivity via NF-kB pathway in rats". Drug Development Research. 84 (2): 253–261. doi:10.1002/ddr.22029. PMID 36651647.
- ^ Kang X, Wang W, Zuo Y, Wang Y, Zhang L, Liu L (January 2025). "Dopamine receptor agonist pramipexole exerts neuroprotection on global cerebral ischemia/reperfusion injury by inhibiting ferroptosis". Journal of Stroke and Cerebrovascular Diseases. 34 (1): 108101. doi:10.1016/j.jstrokecerebrovasdis.2024.108101. PMID 39490461.
- ^ Kang X, Liu L, Wang W, Wang Y (July 2023). "Effects of different doses of dopamine receptor agonist pramipexole on neurobehaviors and changes of mitochondrial membrane potentials in rats with global cerebral ischemia-reperfusion injury". Journal of Stroke and Cerebrovascular Diseases. 32 (7): 107142. doi:10.1016/j.jstrokecerebrovasdis.2023.107142. PMID 37105127.
- ^ Stanger BZ, Leder P, Lee TH, Kim E, Seed B (May 1995). "RIP: a novel protein containing a death domain that interacts with Fas/APO-1 (CD95) in yeast and causes cell death". Cell. 81 (4): 513–523. doi:10.1016/0092-8674(95)90072-1. PMID 7538908.
- ^ Wang L, Du F, Wang X (May 2008). "TNF-alpha induces two distinct caspase-8 activation pathways". Cell. 133 (4): 693–703. doi:10.1016/j.cell.2008.03.036. PMID 18485876.
- ^ Galluzzi L, Kroemer G (December 2008). "Necroptosis: a specialized pathway of programmed necrosis". Cell. 135 (7): 1161–1163. doi:10.1016/j.cell.2008.12.004. PMID 19109884.
- ^ Liu C, Sun X, Cai Y, Li D, Li B, Gao R, et al. (November 2022). "Pramipexole alleviates traumatic brain injury in rats through inhibiting necroptosis". Neuroscience Letters. 791: 136911. doi:10.1016/j.neulet.2022.136911. PMID 36243204.
- ^ DeBattista C, Solvason HB, Breen JA, Schatzberg AF (April 2000). "Pramipexole augmentation of a selective serotonin reuptake inhibitor in the treatment of depression". Journal of Clinical Psychopharmacology. 20 (2): 274–275. doi:10.1097/00004714-200004000-00029. PMID 10770475.
- ^ Zarate CA, Payne JL, Singh J, Quiroz JA, Luckenbaugh DA, Denicoff KD, et al. (July 2004). "Pramipexole for bipolar II depression: a placebo-controlled proof of concept study". Biological Psychiatry. 56 (1): 54–60. doi:10.1016/j.biopsych.2004.03.013. PMID 15219473.
- ^ Goldberg JF, Burdick KE, Endick CJ (March 2004). "Preliminary randomized, double-blind, placebo-controlled trial of pramipexole added to mood stabilizers for treatment-resistant bipolar depression". The American Journal of Psychiatry. 161 (3): 564–566. doi:10.1176/appi.ajp.161.3.564. PMID 14992985.
- ^ Goodwin GM, Martinez-Aran A, Glahn DC, Vieta E (November 2008). "Cognitive impairment in bipolar disorder: neurodevelopment or neurodegeneration? An ECNP expert meeting report". European Neuropsychopharmacology. 18 (11): 787–793. doi:10.1016/j.euroneuro.2008.07.005. PMID 18725178.
- ^ McAllister-Williams H, Chadwick T, Courtney P, Moore A, Fouweather T, Geddes J, et al. (1 January 2023). "A randomised double-blind, placebo-controlled trial of pramipexole for patients with treatment resistant bipolar depression (the Pramipexole Trial for Bipolar Depression)". Neuroscience Applied. Abstracts of the 36th ECNP Congress 2023. 2: 102938. doi:10.1016/j.nsa.2023.102938. ISSN 2772-4085.
- ^ Lattanzi L, Dell'Osso L, Cassano P, Pini S, Rucci P, Houck PR, et al. (October 2002). "Pramipexole in treatment-resistant depression: a 16-week naturalistic study". Bipolar Disorders. 4 (5): 307–314. doi:10.1034/j.1399-5618.2002.01171.x. PMID 12479663.
- ^ Cassano P, Lattanzi L, Soldani F, Navari S, Battistini G, Gemignani A, et al. (2004). "Pramipexole in treatment-resistant depression: an extended follow-up". Depression and Anxiety. 20 (3): 131–138. doi:10.1002/da.20038. PMID 15549689.
- ^ Li P, Wang T, Guo H, Liu Y, Zhao H, Ren T, et al. (July 2024). "Pramipexole improves depression-like behavior in diabetes mellitus with depression rats by inhibiting NLRP3 inflammasome-mediated neuroinflammation and preventing impaired neuroplasticity". Journal of Affective Disorders. 356: 586–596. doi:10.1016/j.jad.2024.04.073. PMID 38657764.
- ^ Holman AJ, Myers RR (August 2005). "A randomized, double-blind, placebo-controlled trial of pramipexole, a dopamine agonist, in patients with fibromyalgia receiving concomitant medications". Arthritis and Rheumatism. 52 (8): 2495–2505. doi:10.1002/art.21191. PMID 16052595.
- ^ Herceg M, Nagy F, Pál E, Janszky J, Késmárky I, Komoly S, et al. (March 2012). "Pramipexole may be an effective treatment option in essential tremor". Clinical Neuropharmacology. 35 (2): 73–76. doi:10.1097/WNF.0b013e31824687bf. PMID 22318193.
- ^ Kosmowska B, Wardas J, Głowacka U, Ananthan S, Ossowska K (January 2016). "Pramipexole at a Low Dose Induces Beneficial Effect in the Harmaline-induced Model of Essential Tremor in Rats". CNS Neuroscience & Therapeutics. 22 (1): 53–62. doi:10.1111/cns.12467. PMC 6492867. PMID 26459182.
- ^ Finkel MF (October 2000). "Pramipexole is a possible effective treatment for primary orthostatic tremor (shaky leg syndrome)". Archives of Neurology. 57 (10): 1519–1520. doi:10.1001/archneur.57.10.1519. PMID 11030807.
- ^ Lynn BK, Grabenhorst C, Komisaruk BR, Goldstein I, Pfaus J (August 2021). "The Use of Pramipexole to Treat Persistent Genital Arousal Disorder: A Case Report". Sexual Medicine. 9 (4): 100372. doi:10.1016/j.esxm.2021.100372. PMC 8360918. PMID 34126431.
- ^ Chen J, Collins GT, Levant B, Woods J, Deschamps JR, Wang S (August 2011). "CJ-1639: A Potent and Highly Selective Dopamine D3 Receptor Full Agonist". ACS Medicinal Chemistry Letters. 2 (8): 620–625. doi:10.1021/ml200100t. PMC 3224040. PMID 22125662.
- ^ a b Santra S, Xu L, Shah M, Johnson M, Dutta A (October 2013). "D-512 and D-440 as novel multifunctional dopamine agonists: characterization of neuroprotection properties and evaluation of in vivo efficacy in a Parkinson's disease animal model". ACS Chemical Neuroscience. 4 (10): 1382–1392. doi:10.1021/cn400106n. PMC 3798991. PMID 23906010.

