Advanced Classical Mechanics/The Principle of Least Action

Introduction

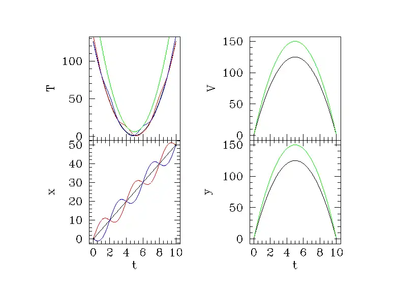
If we throw a ball through the air, what does its path look like?

Let's first look at the trajectory along the x-direction. I could imagine the ball going a bit faster at a certain time and then travel more slowly later to arrive at the same time. However, because the kinetic energy is quadratic in the velocity doing this would increase the integral of along the trajectory. The area below the red line and above the black line in the top-left panel is larger than the area below the black line and above the red line. This is similar for the blue path.

If we perturb the path in the y-direction we could have the ball go higher or lower. If we make the ball go higher, the integral of both and increases. On the other hand, if we make the ball go lower, the integrals decrease. The changes to the x-trajectory didn't affect the potential energy at all. Looking at the motion in the horizontal direction tells us that the integral of the kinetic energy is minimized but we are free to add a term for the potential energy as well. For the vertical direction, unless we include the potential energy in opposition to the kinetic energy we find that the integral will increase or decrease without bound as we change the peak of the curve.

Minimizing the Integral

Let's try to find the integral to minimize that gives the actual motion of the ball. Let's try

where we have set without loss of generality and defined to be the combination of and . What we are interested in finding is the path where and that results in the minimum value of the integral .

This seems like a place to use calculus and take a derivative, but taking a derivative lets you find the minimum of a function with respect to changes in a variable. Here we are interested in the minimum of an integral of a function with respect to changes in that function. What we have is

and

The brackets denote that the quantity is a functional of the path. The funny deltas denote that we would like to take the functional derivative of with respect to the function and find where it is zero.

The Calculus of Variations

It appears that we have introduced a whole new type of mathematical problem. In fact we have, but to solve the problem at hand, we can use a modest extension of the calculus that you already know -- The Calculus of Variations. Let's imagine that the path is indeed the one that minimizes the integral -- the true path of the ball through the air -- and look at nearby paths whose starting and ending points coincide with the true path,

Because minimizes the integral, the value of the integral shouldn't be much different. Let's write it out

where is a function of the position and velocity of the ball. One could generalize this for functions that also depended on higher derivatives of the path. We have always imagined that difference between the true path and perturbed path is small so it is natural to use a Taylor expansion of to evaluate the integral

Because minimizes the integral we must have for any deviation so we must solve

If we integrate the second term by parts we get the following integral

However since the deviation is completely arbitrary the quantity in the brackets must vanish, so we find that for the path that mimimizes the integral the following set of differential equations holds

If we take , these are simply Lagrange's equations that we derived earlier from ; therefore, a particle that at every instant manages to follow the second-order differential equation somehow also manages to minimize the integral of over time. These two different ways of looking at the same process offer insights into the connection between quantum and classical mechanics and the underpinnings of physics in general. The integral of over time is known as the action and it has units of energy multiplied by time. The realm of quantum mechanics is delineated by the constant that also has units of energy multiplied by time. When the change in the action between the classical path and neighbouring paths is smaller than , the effects of quantum mechanics become crucial to understand what happens.

Applications

We are free to apply the results derived in the previous section to a wide variety of problems where you are trying to minimize the integral of a function. We only need to find the integrand and apply Lagrange's equations to get a set of differential equations to solve.

Bubbles

An example will make things a bit clearer. Let's say that you have two rings of different radii and held a distance apart from each other. The rings are parallel to each other and their centres lie on a line perpendicular to the rings.

We dip the rings in soapy water and a bubble forms between them. The surface of the bubble is a surface of revolution and surface tension of the bubble forces it to form a surface that minimizes the area. Essentially there is an energy proportional to the area of the surface and the bubble evolves to minimize this energy.

So we wish to minimize the area of the surface. Let's denote the crossection of the surface by where and . The total area is

so , and plays the role of . These are just names for things but the basic problem is the same we would like to minimize some functional by changing the function . Here is the Lagrange equation,


which yields

and after some simplification we have

We will solve this equation by making a guess. We have a function times its second derivative is sort of equal to its first derivative squared. If we have a plus sign between the terms, we would be tempted to use sines or cosines but since there is a minus sign, that points toward hyperbolic functions. Let's try substituting

into the differential equation. This yields so we have the following general solution

that we need to fit to the boundary conditions. The minimum radius of the bubble is at . The total area of the bubble is

Some interesting things that you may find. First, if the two rings are different sizes there is only a solution when the rings are sufficiently close together. Second, even for rings of equal size there comes a point where the bubble can take a much different form that has lower area. Specifically, if the bubble collapses to a line between the centres of the rings and fills the rings themselves we have

When this area is less than the area of the locally minimizing curve, the bubble can take a much different form and dramatically reduce its energy (it usually pops at this point). The derivation that the minimizing curve satisfied Lagrange's equations assumed implicitly that the curve was smooth and looked for local extrema. Because we could also derive Lagrange's equations from the physical relevance of the equations is not affected by this; rather we have to be a bit careful while applying these equations to minimize integrals.